Распознай уравнения
Пример:
487.50K
Категория: МатематикаМатематика

Дробные рациональные уравнения

1.

8 класс.

2.

Если обе части уравнения являются рациональным
выражением, то такое уравнение называют
рациональным уравнением.
Рациональные уравнения
Целые рациональные
уравнения
2х 3
5 х;
5
2
х 6 х 8 0;
х 5 х 9
.
4
6
Дробно-рациональные
уравнения
2х 3
4 х;
5 х
х2 6х 8
0;
х 2
х 5 х 9
.

6

3. Распознай уравнения

х 7
2
х 5
- дробно-рациональное уравнение
х 7
15
5
- целое рациональное уравнение
х 9 х 17 х 8
х 5
х
2
х 7 х 2
5
7
-дробно-рациональное
уравнение
2
- целое рациональное уравнение

4.

Алгоритм решения дробных рациональных
уравнений.
1. Найти общий знаменатель
дробей, входящих в уравнение;
2. Записать *
3. Умножить обе части уравнения
на общий знаменатель;
4. Решить получившееся целое
уравнение;
5. Исключить из его корней те,
которые не удовлетворяют *
6. Записать ответ

5.

Решить уравнение.
2
x 10
1 2
;
x 3
x 9
2
Решение
Это – дробно-рациональное уравнение
* ( x 3)( x 3) 0
2
x 2 10
1
0;
2
x 3
x 9
Выполним действия в левой части:
х - 3 (х - 3)(х + 3)
2
1
2
x 10
1 2
0
x 3
x 9 2
2( x 3) ( x 3)( x 3) ( x 10)
0
( x 3)( x 3)

6.

2 x 6 x 9 x 10
0
( x 3)( x 3)
2
2
2x 5
0;
( x 3)( x 3)
2x 5
0;
( x 3 )( x 3 )
2 x 5 0,
2x 5,
x 2 ,5.
Ответ: 2 ,5.

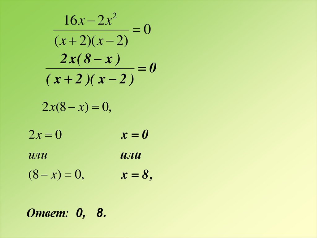
7.

Рассмотрим пример 3.
Решить уравнение.
10
6
2
x 2 x 2
Решение
х-2
х+2
* ( x 2)( x 2) 0
(х - 2)(х + 2)
10
6
2 0
x 2 x 2
10( x 2) 6( x 2) 2( x 2)( x 2)
0
( x 2)( x 2)
10 x 20 6 x 12 2 x 8
0
( x 2)( x 2)
2

8.

16 x 2 x
0
( x 2)( x 2)
2 x( 8 x )
0
( x 2 )( x 2 )
2
2 x(8 x) 0,
2x 0
x 0
или
или
(8 x) 0,
x 8,
Ответ: 0, 8.

9. Пример:

*
3x 7 x 3
x 5 x 2
x 2 0 x 5 0
x 2
x 5
(3 x 7) ( x 2) ( x 3) ( x 5)
3x 2 6 x 7 x 14 x 2 5 x 3 x 15
3x 2 x 14 x 2 2 x 15
2 x 2 3x 1 0
a 2
b 3
c 1
D b 2 4ac 9 8 1
3 1
x1
1
4
3 1
x2
0,5
4
Ответ:1; 0,5.

10.

Отклонение от алгоритма может привести к приобретению
посторонних корней данного уравнения
x 2 x 3 1,
x 3
х-3
( x 2)( x 3)
1 0
x 3
x 2 3x 2 x 6 x 3
0
x 3 2
x 6x 9
0
x 3
2
( x 3)
0
x 3
x = 3 обращает знаменатель
в нуль, значит уравнение
корней не имеет.
Отклонимся от алгоритма
Сократим дробь в левой
части уравнения на (х – 3)
x 2 x 3 1,
x 3
x 2 1
x 3
При таком «способе
решения» мы получили
посторонний корень.

11.

Решим уравнения
2 х 1 3х 4
x 7
х 1
х 1 2х 1
2х 3 3 2х
х

2
2
х 1 х 1
2
English     Русский Правила