Логарифмические уравнения. Основные методы их решения.
Теоретическая часть
.
Практическая часть
1.38M
Категория: МатематикаМатематика

Логарифмические уравнения. Основные методы их решения

1. Логарифмические уравнения. Основные методы их решения.

2. Теоретическая часть

3.

«Ничему тому, что важно
знать, научить нельзя, всё, что может сделать
учитель, это указать
дорожки»
Ричард
Олдингтон
(1892 – 1962гг..) английский поэт,
прозаик, критик
«Кто говорит – тот сеет, кто
слушает – тот собирает».
Русская народная пословица

4.

5. .

6.

1. Решение логарифмических
определения логарифма.
уравнений
на
основании
Определение логарифма:
log a b c : a c b, a 0, b 0, a 1.
log a f ( x ) c f ( x ) a c ,
Пример 1:
f ( x ) 0, a 0, a 1.
log 4 x 2,
ОДЗ : х 0,
x 42 ,
x 16.
Ответ: 16.

7.

Пример 2:
Пример 3:
log 3 (2 x 1) 2,
4x 3 5,
2 x 1 32 ,
2 x 1 9,
x 4.
x 3 log 4 5,
Проверка:
log 3 (2 4 1) 2,
log 3 9 2,
2 2
Ответ: 4.
х 3 log 4 5.
Ответ:
3 log 4 5.

8.

log g ( x ) f ( x) c f ( x) g ( x) c ,
f ( x ) 0, g ( x ) 0, g ( x ) 1.
Пример 4:
ОДЗ:
log x 1 ( 2 x 2 1) 2,
2 x 2 1 0,
x 1 0,
x 1 1,
x ( 1;0) (0; )
log x 1 ( 2 x 2 1) 2,
2 x 2 1 ( x 1) 2 ,
2 x 2 1 x 2 2 x 1,
x 2 2 x 0,
x ( x 2) 0,
x1 0, x2 2.
Ответ: 2.

9.

2. Метод потенцирования.
Под потенцированием понимается переход от равенства, содержащего
логарифмы, к равенству, не содержащему их.
log a f ( x ) log a g ( x ) f ( x ) g ( x ), где a 0, a 1, f ( x ) 0, g ( x ) 0.
Пример 5:
log 2 ( x 2 7 x 5) log 2 (4 x 1),
x 2 7 x 5 4 x 1,
x 2 3x 4 0,
x1 1, x2 4.
Проверка:
x 1 log 2 (12 7 1 5) log 2 (4 1 1) log 2 3 log 2 3 - верно
2
x 4 log 2 (( 4) 7 ( 4) 5) log 2 (4 ( 4) 1) log 2 ( 17) log 2 ( 17)
- не верно
Ответ: 1.

10.

log h ( x ) f ( x ) log h ( x ) g ( x ) f ( x ) g ( x )
f ( x ) 0, g ( x ) 0, h( x ) 0, h( x ) 1.
Пример 6:
log 2 x ( x 2 7 x 5) log 2 x ( 4 x 1),
x 2 7 x 5 4 x 1,
ОДЗ:
x 2 3x 4 0,
x1 1, x2 4.
x 2 7 x 5 0,
4 x 1 0,
2 x 0,
2 x 1.
Проверка:
x 1 log 2 1 (12 7 1 5) log 2 1 (4 1 1) log 3 3 log 3 3
1 1 верно.
x 4 log 2 4 (( 4) 2 7 ( 4) 5) log 2 4 (4 ( 4) 1)
log 2 ( 17) log 2 ( 17) не верно
Ответ: 1.

11.

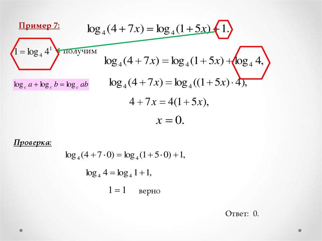
Пример 7:
1 log 4 41
log 4 (4 7 x) log 4 (1 5x) 1.
получим
log c a log c b log c ab
log 4 (4 7 x) log 4 (1 5x) log 4 4,
log 4 (4 7 x) log 4 ((1 5x) 4),
4 7 x 4(1 5 x ),
x 0.
Проверка:
log 4 (4 7 0) log 4 (1 5 0) 1,
log 4 4 log 4 1 1,
1 1
верно
Ответ: 0.

12.

3. Метод подстановки.
Пример 8:
log 32 x log 3 x 2
ОДЗ:
Пусть
log 3 x t ,
x 0.
тогда
t 2 t 2, t 2 t 2 0.
t1 1, t2 2.
Значит,
log 3 x 1
или
log 3 x 2
x 3 1
x 32
1
x .
3
x 9.
1
, 9.
Ответ:
3

13.

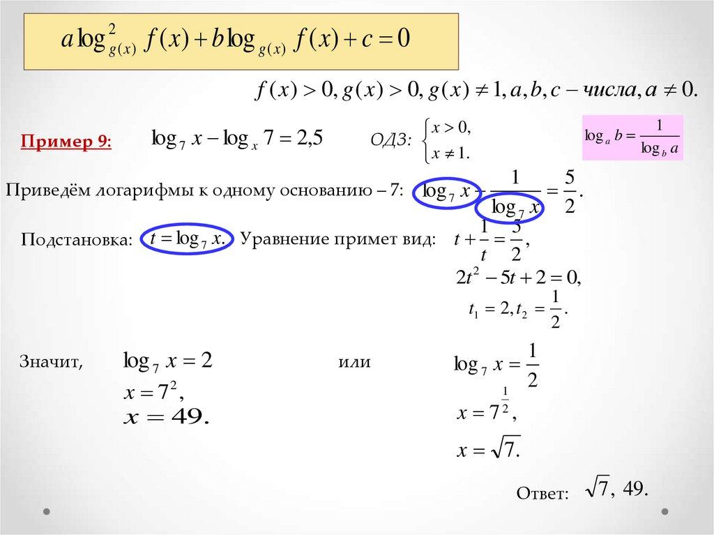
a log
2
g( x)
f ( x) b log g ( x ) f ( x) c 0
f ( x ) 0, g ( x ) 0, g ( x ) 1, a, b, c числа, а 0.
Пример 9:
log 7 x log x 7 2,5
x 0,
ОДЗ:
x 1.
log a b
1
log b a
1
5
.
log 7 x 2
1 5
Подстановка: t log 7 x. Уравнение примет вид: t ,
t 2
2t 2 5t 2 0,
Приведём логарифмы к одному основанию – 7:
log 7 x
t1 2, t 2
Значит,
log 7 x 2
x 72 ,
x 49.
или
1
.
2
1
log 7 x
2
1
x 72 ,
x 7.
Ответ:
7 , 49.

14.

4. Метод логарифмирования.
f ( x ) g ( x ) log h ( x ) f ( x ) log h ( x ) g ( x )
f ( x ) 0, g ( x ) 0, h( x ) 0, h( x ) 1.
Пример 10:
x
log3 x 4
log 3 ( x log3 x 4 ) log 3
Пусть
Значит,
x 0,
ОДЗ: x 1.
1
,
27
1
27,
(log 3 x 4) log 3 x 3.
log 3 x t ,
тогда
log 3 x 1
x 3,
x 3.
1
log c a p p log c a
(t 4)t 3,
t 2 4t 3 0,
t1 1, t2 3.
log 3 x 3,
или
x 33 ,
x 27.
Ответ: 3; 27.

15.

16. Практическая часть

17.

Решите логарифмические уравнения

18.

Решите логарифмические уравнения
English     Русский Правила