Производная функции
Приложения производной
Исследование функции с помощью производной и построение ее графика
Общая схема исследования
Задание: Исследовать функцию с помощью производной и построить её график
Задание для самостоятельного решения Исследовать функцию с помощью производной и построить её график
1.22M
Категория: МатематикаМатематика

Производная функции

1. Производная функции

ПРОИЗВОДНАЯ
ФУНКЦИИ

2.

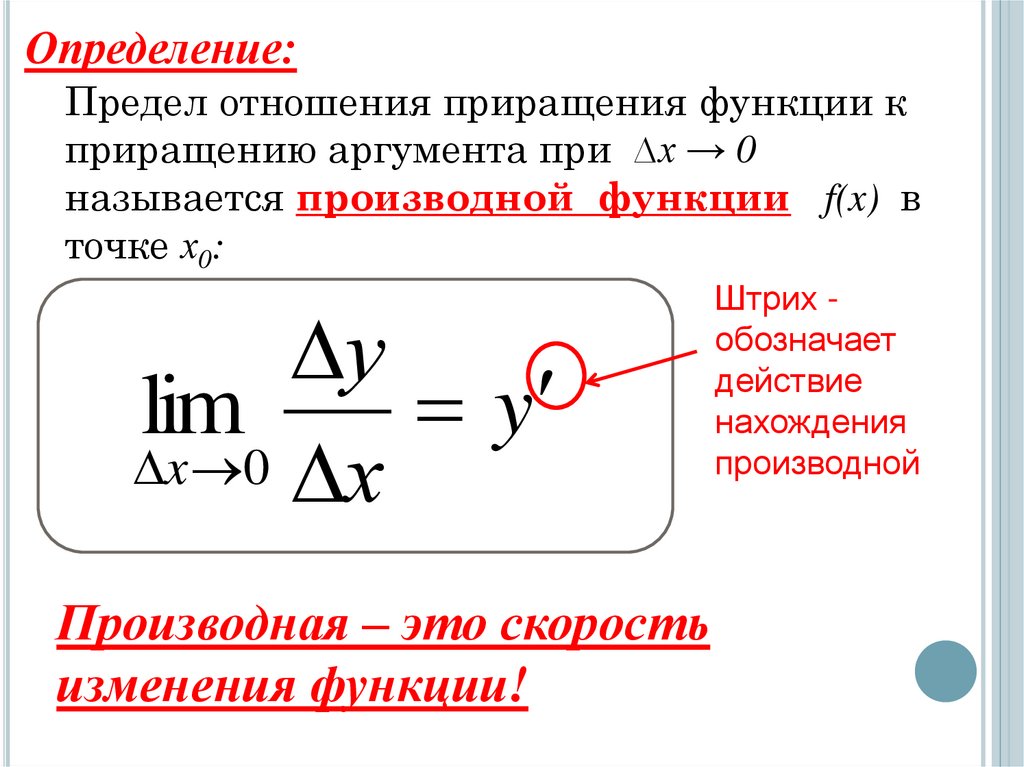
Определение:
Предел отношения приращения функции к
приращению аргумента при ∆х → 0
называется производной функции f(x) в
точке х0:
у
lim
y
x 0 х
Производная – это скорость
изменения функции!
Штрих обозначает
действие
нахождения
производной

3.

y
М
f(х)
приращение функции –
∆y
f(х0)
y = f(х)
∆x = х – х0;
О
∆y = f(х) – f(х0);
х0
х
∆x – приращение аргумента
х

4.

Другие обозначения:
f (x )
y
dy
dx
Действие нахождения производной
называется - дифференцированием.
Функция, имеющая производную,
называется дифференцируемой.

5.

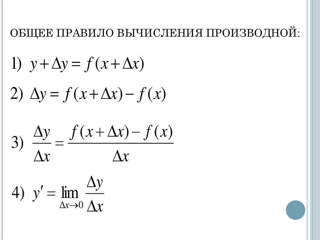
ОБЩЕЕ ПРАВИЛО ВЫЧИСЛЕНИЯ ПРОИЗВОДНОЙ:
1) y y f ( x x)
2) y f ( x x) f ( x)
y f ( x x) f ( x)
3)
x
x
y
4) y lim
x 0 x

6.

Правила дифференцирования
U V W
U V W
С U
U V V U
С U
U V
U V W
U V W V U W W U V
U U V U V
2
V
V
U 1
U
С С
С
С
V
2
V
V

7.

Производные элементарных функций
1)
С 0 , С постоянная
2)
x 1
3)
4)
5)
x n x
1
х
n
n 1
2 x
1
1
2
x
x
СТЕПЕННЫЕ
ФУНКЦИИ

8.

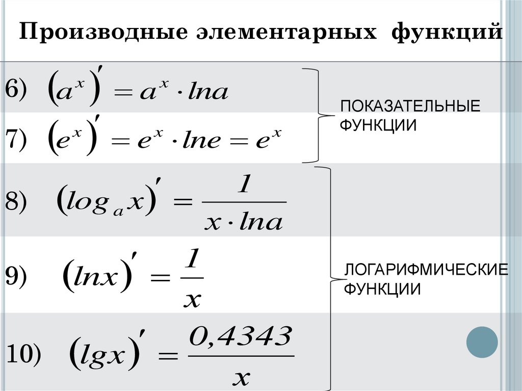
Производные элементарных функций
6)
7)
8)
a a
e e
x
x
lna
x
lne e
1
х lna
log a x
x
x
1
9) lnx
х
0,4343
10) lgx
х
ПОКАЗАТЕЛЬНЫЕ
ФУНКЦИИ
ЛОГАРИФМИЧЕСКИЕ
ФУНКЦИИ

9.

Производные элементарных функций
11)
12)
13)
14)
sinx cosx
cosx sinx
tgx
1
2
cos x
ctgx
1
2
sin x
ТРИГОНОМЕТРИЧЕСКИЕ
ФУНКЦИИ

10.

Математический диктант
x
С U
С
n
x
1
x
cosx
e
x
sinx
U V
U V
х
lnx
tgx
a
x
ctgx
U
V

11.

Вычисление производных элементарных функций
1) y x
y x
3
3) y x
3 x
3 1
3x
2
7
y 7x
2, 4
y 2,4 x
5
y 5 x
2) y x
4) y x
x n x
n
3
6
1, 4
6
n 1

12.

Вычисление производных элементарных функций
a x a n x
n
5 ) y 4х 2 2x 3 3x 10
4
6) y 3х 6 x
0, 5
0,008
С 0
U V U V
7 ) y 3х 1,5x 7x 0,35
4
2
x0 2
8) y
n 1
1
5
x х x , x0 1
x

13.

Вычисление производных элементарных функций
U V
9 ) y 2 tgx 5 lnx 4 x
U V
10 ) y 8 ctgx 2 cosx 7 lg x 0,136
2
11 ) y 2 log 2 x 3 x 10 x
3
3
4
12) y 3 cos x 4 sin х 2e x 5x, x0 0

14.

Д/З Выучить формулы!
Вычислить производные:
1) y 1,2x 4х 3x 1,2х 0,007
5
2
3
2) y lgx 3 ctgx 9 6 lnx
x
3) y 5x 2x 3x 2x
2
2
Вычислить производные в заданных точках:
4) y 7x 13х 5x 3, x0 6,5
3
3
2
5) y 4x 1,5x 9х
x0 1,4
2
2
3

15.

Вычисление по правилу произведения
U V
1)
U V U V
у = x∙sinx;
у′ = (x∙sinx)′ = (x)′∙sinx + x∙(sinx)′ =
U
V
= 1∙sinx + x∙cosx = sinx + x∙cosx

16.

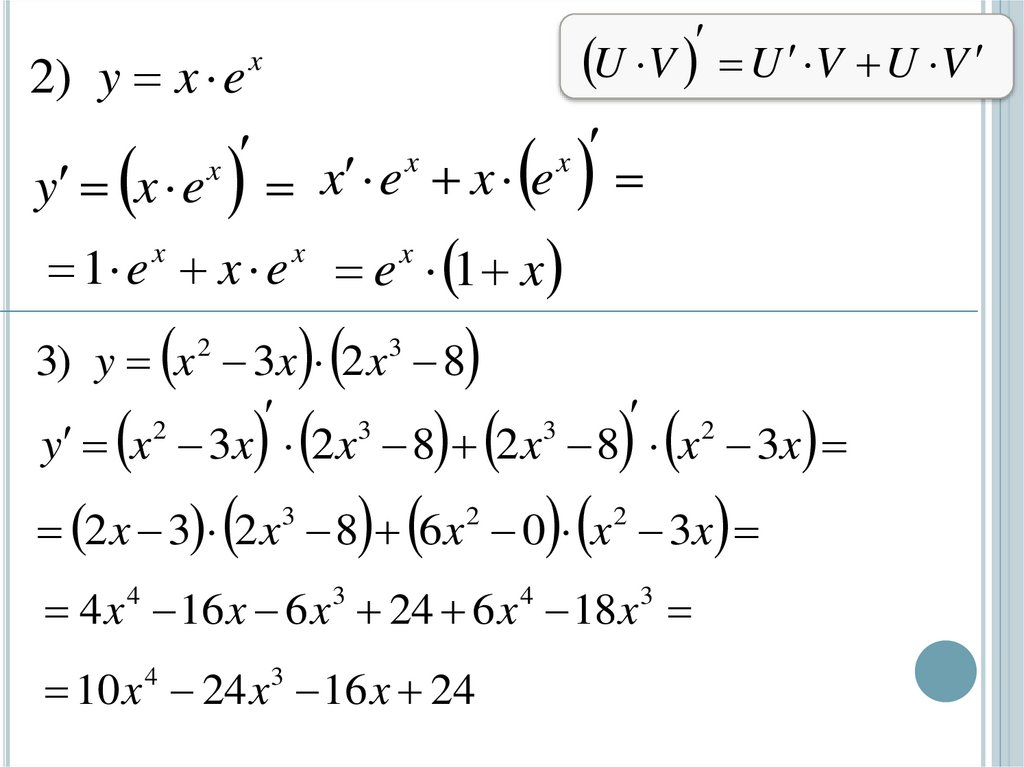
2) y x e
y x e
x
U V
x
U V U V
x e x e
x
x
1 e x e e 1 x
x
x
x
3) y x 3x 2 x 8
2
2
3
3
y x 3x 2 x 8 2 x 8 x 3x
2
3
2 x 3 2 x3 8 6 x 2 0 x 2 3x
4 x 4 16 x 6 x 3 24 6 x 4 18 x 3
10 x 4 24 x 3 16 x 24

17.

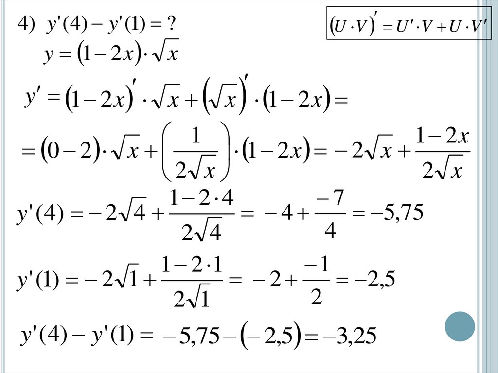
4) y' (4) y' (1) ?
y 1 2 x x
U V U V U V
y 1 2 x x x 1 2 x
1 2x
1
0 2 x
1 2 x 2 x
2 x
2 x
7
1 2 4
5,75
4
y ' ( 4) 2 4
4
2 4
1
1 2 1
2,5
2
y ' (1) 2 1
2
2 1
y ' (4) y ' (1) 5,75 2,5 3,25

18.

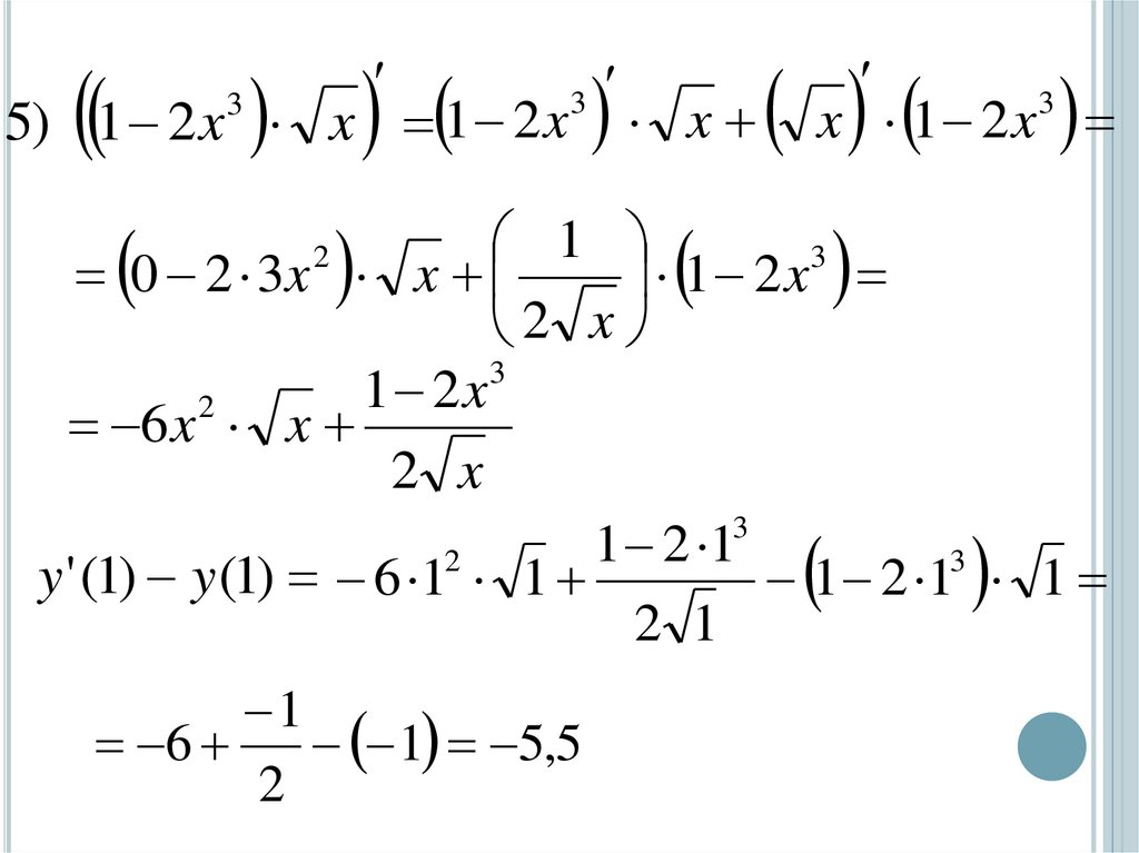
5) 1 2 x x 1 2 x
3
3
x
x 1 2x
3
1
3
0 2 3x x
1 2x
2 x
3
1 2x
2
6 x x
2 x
3
1 2 1
2
y ' (1) y (1) 6 1 1
1 2 13 1
2 1
2
1
6
1 5,5
2

19.

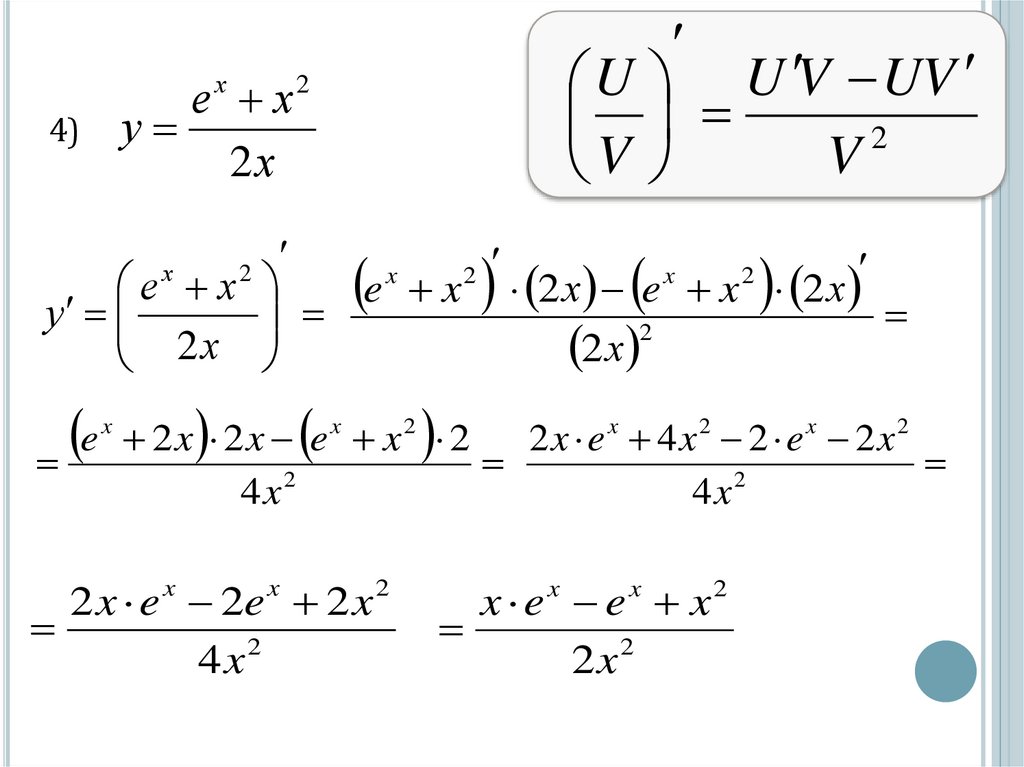
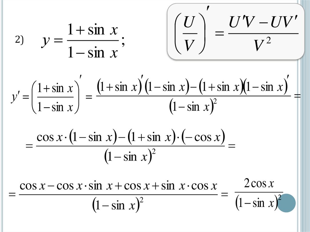
Вычисление по правилу дроби
1)
1 2х
у
;
3 5х
U U V UV
2
V
V
1
2
х
1 2 х 3 5 х 1 2 х 3 5 х
у
2
3 5х
3 5х
2 3 5 х 1 2 х 5 6 10 х 5 10 х
11
2
2
2
3 5 х
3 5 х
3 5 х

20.

2)
1 sin x
у
;
1 sin x
U U V UV
2
V
V
1 sin x 1 sin x 1 sin x 1 sin x 1 sin x
у
2
1 sin x
1 sin x
cos x 1 sin x 1 sin x cos x
2
1 sin x
2 cos x
cos x cos x sin x cos x sin x cos x
2
2
1 sin x
1 sin x

21.

Вычислить производную в заданной точке:
3)
2 3х
у
1 2х
2
2 3x
у
1 2x
2
x0 1
2 3x 1 2x 2 3x 1 2x
2
2
1 2 x
2
2
2
6
x
12
x
4
6
x
6 x 1 2 x 2 3x 2
2
2
1 2 x
1 2 x
2
6x 6x 4
2
1 2 x
2
6 6 4
y ( 1)
4
2
1 2

22.

е х
у

х
4)
2
U U V UV
2
V
V
x
2
x
2
е х
e x 2 х e x 2 х
у
2
2 х

х
e
x
2
2 x 2 x e x x 2 2
2x ex 4x2 2 ex 2x2
2
2
4x
4x
2 x e x 2e x 2 x 2
2
4x
x ex ex x2
2
2x

23.

5)
U U V UV
2
V
V
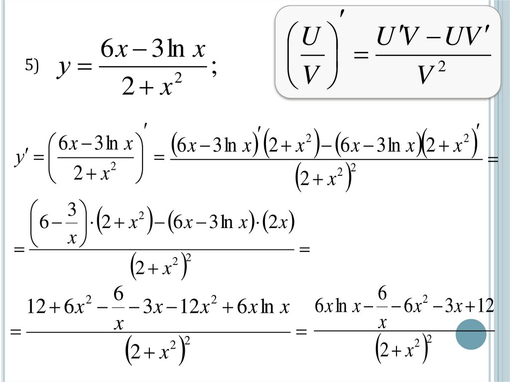
6 x 3 ln x
у
;
2
2 x
2
2
6 x 3 ln x 6 x 3 ln x 2 x 6 x 3 ln x 2 x
у
2
2
2 x
2 x2
3
2
6
2
x
6 x 3 ln x 2 x
x
2
2 x2
6
6
2
2
12 6 x 3x 12 x 6 x ln x 6 x ln x 6 x 3x 12
x
x
2 2
2 2
2 x
2 x
2

24.

Самостоятельно вычислить производную в заданной точке:
y (25) y 4 ?
y
(
0
)
?
2) y 4 x х x 2e
y (0) ?
3) y 2 x 8e cos x
1) y 3 x x
2
2
3
x
x
2 4х
4) у
2 х
9 ln х 4 x
5) у
2

3
y ( 6) ?
y (1) ?

25.

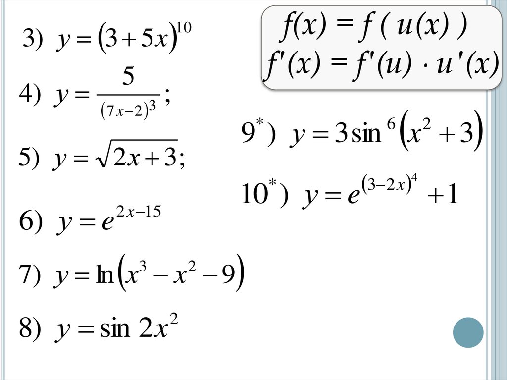
Производная сложной функции
f(x) = f ( u(x) )
f′(x) = f′(u) ∙ u’
Пример:
1)
у = (2x – 7)14;
u
u(x) = 2x – 7;
f(u) = u14;
у′ = f′(u) ∙ u′(x) = 14u13 ∙ 2 = 28(2x – 7)13

26.

3) у 3 5 x
5
4) у
;
3
f(x) = f ( u(x) )
f′(x) = f′(u) ∙ u′(x)
10
7 x 2
5) у 2 х 3;
6
10 ) у e
*
6) у e
2 x 15
7) у ln x x 9
3
8) у sin 2 x
2
2
9 ) у 3 sin x 3
*
3 2 x 4
2
1

27.

Учебник
Алимов Ш.А.
№ 791 (2,4,6)
№ 796 (2,3)
№ 835 (5)
№ 837 (3,4)
№ 846 (1,2,3)
f(x) = f ( u(x) )
f′(x) = f′(u) ∙ u′(x)

28.

Производная второго порядка
Производной второго порядка (второй
производной) называется производная от первой
производной.
у ( x) у
Производная 3-го порядка:
у (x)
Производная 4-го порядка:
у ( x)
( 4)

29.

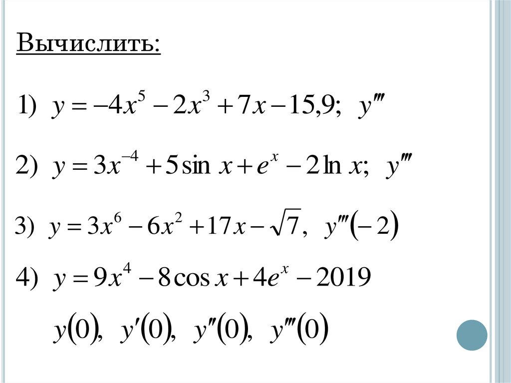
Вычислить:
1) y 4 x 2 x 7 x 15,9; y
5
3
2) y 3x 5 sin x e 2 ln x; y
4
x
3) y 3x 6 x 17 x 7 , y 2
6
2
4) y 9 x 8 cos x 4e 2019
4
x
y 0 , y 0 , y 0 , y 0

30. Приложения производной

ПРИЛОЖЕНИЯ
ПРОИЗВОДНОЙ

31.

Физический смысл производной
1) Рассмотрим движение материальной точки,
координата которой изменяется по закону: S = S(t).
υ
Физический смысл производной
S'(t); первого порядка - это скорость
движения
2) Ускорение движения – это скорость изменения
скорости, значит
а υ'(t);
Физический смысл производной
второго порядка - это ускорение

32.

Физический смысл производной
А так как S ' (t ), то
а S (t)

33.

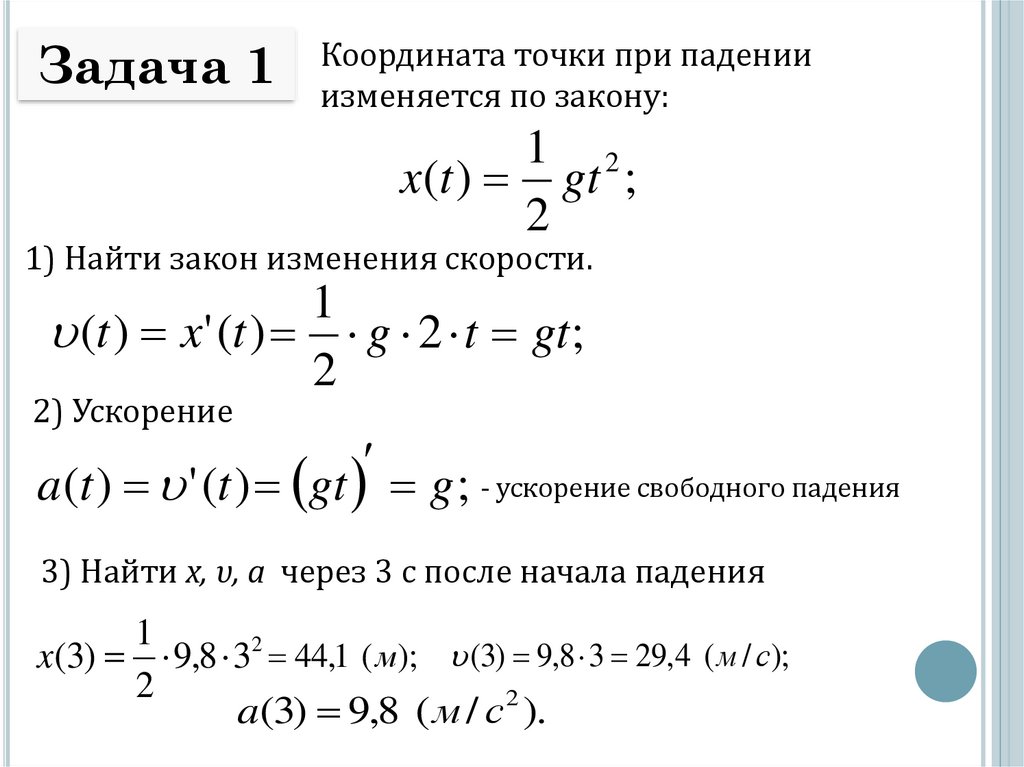
Задача 1
Координата точки при падении
изменяется по закону:
1 2
x(t ) gt ;
2
1) Найти закон изменения скорости.
1
(t ) x' (t ) g 2 t gt ;
2
2) Ускорение
a (t ) ' (t ) gt g ; - ускорение свободного падения
3) Найти x, υ, a через 3 с после начала падения
1
x(3) 9,8 32 44,1 ( м); (3) 9,8 3 29,4 ( м / с);
2
a(3) 9,8 ( м / с 2 ).

34.

Задача 2
Точка движется прямолинейно по закону: S (t ) 2t 3 t 1;
Найти законы изменения скорости и ускорения.
В какой момент времени ускорение будет равно 6 м/с2;
48 м/с2?
v S 6t 1
a v 12t
2
a 6( м / с ); 12t 6 t 0,5c
2
a 48( м / с ); 12t 48 t 4c
2

35.

Задача 3
Точка движется по закону:
1 4
S (t ) t 2t 2 3;
4
Найдите момент её остановки.
1
3
3
v S (t ) 4t 2 2 t 0 t 4t
4
3
2
v 0
t 4t 0
t t 4 0
t 0, t 4 0
t 0, t1, 2 2
2
t 2с
- момент остановки движения

36.

Задача 4
Точка движется прямолинейно
по закону: S (t ) 2t 3 t 2 4;
Найдите значения скорости и ускорения в
момент времени: t 4c.
2
2
v S (t ) 2 3t 2 t 0 6t 2t
a v (t ) 6 2t 2 12t 2
v 4 6 42 2 4 96 8 104( м / с)
a (4) 12 4 2 48 2 50( м / с 2 )

37.

Задача 5
Тело массой 1,6 кг движется
прямолинейно по закону:
m v2
Ek
2
S (t ) 0,5t 2t 1.
3
Найти кинетическую энергию тела через 4с после
начала движения.
v S (t ) 0,5 3t 2 2 1 0
v 1,5t 2
2
v 4 1,5 4 2 2 22( м / с)
1,6 22 2
Ek
387,2( Дж )
2

38.

Задача 6
Даны два уравнения движения. Найти
значения их ускорений в момент
времени когда их скорости равны:
S1 3t 3 4t 2 8t 6
S 2 3t 3 2t 2 4t 5
2
v2 S 2 9t 4 t 4
v1 S1 9t 8 t 8
v1 v2
2
2
9t 8 t 8 9t 4 t 4
2
12t 12
t 1с
a1 v1 18t 8
a2 v2 18t 4
a1 (1) 18 8 10
a2 (1) 18 4 22

39.

Задания для самостоятельного решения:
1) Найти скорость и ускорение при
S (t ) t 3 2t 2 8t 13
t 5c.
2) В какой момент времени скорость окажется равной нулю?
S (t ) 4t 28t 17
2
3) Тело массой 48 кг движется прямолинейно по закону:
S (t ) t 2 3t 6
Найти кинетическую энергию тела через 6с после начала
движения.
4) Даны два уравнения движения. Найти значения их
ускорений в момент времени когда их скорости равны:
S1 2t 3 7t 2 8t 17
S 2 2t 3 9t 2 24t 1

40.

Геометрический смысл производной
у
Производная
функции в
точке х0 равна
тангенсу угла
наклона
касательной
y k x b
y f (x)
Производная функции
в точке х0 равна
угловому
коэффициенту
касательной к графику
функции в этой точке
О
α
х
х0
f ' ( x0 ) tg
f ' ( x0 ) k
tg k

41.

№1
Найти угловой коэффициент и угол наклона
касательной к графику функции:
f ( x) x 2 x 1
2
f ( x) 2 x 2;
в точке с абсциссой х0 = 0.
Решение
k f ( x0 ) f (0) 2 0 2 2;
f ' ( x0 ) tg 2
arctg ( 2) arctg 2 63 26 6
180 63 26 6 116 33 54
Ответ : k 2; 116 33 54

42.

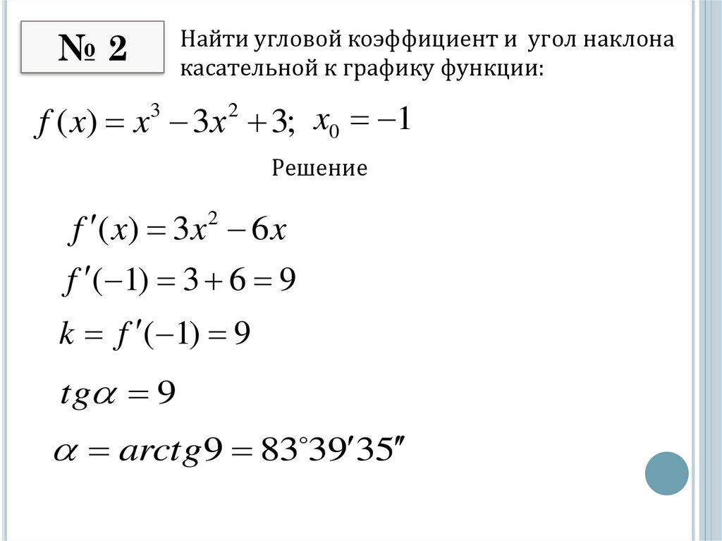
Найти угловой коэффициент и угол наклона
касательной к графику функции:
№2
f ( x) x 3х 3; x0 1
3
2
Решение
f ( x) 3x 2 6 x
f ( 1) 3 6 9
k f ( 1) 9
tg 9
arctg 9 83 39 35

43.

Уравнение касательной и нормали
Уравнение касательной к графику функции f(x) в точке х0:
ук f ( x0 ) f ' ( x0 )( х x0 )
Уравнение нормали к графику функции f(x) в точке х0:
1
ун f ( x0 )
( х x0 )
f ' ( x0 )

44.

№3
Составить уравнение касательной и нормали
к графику функции в заданной точке:
f ( x) x 2 4, x0 3
Решение:
1) f(х0) = 32 – 4 = 5;
2) f ′(х) = 2x ;
3) f ′(х0) = 2∙3 = 6;
4) ук 5 6 ( х 3)
ук 6 х 13
1
5) ун 5 ( х 3)
6
1
1
ун x 5
6
2

45.

№4
Составить уравнение касательной и нормали
к графику функции в заданной точке:
f ( x) 4 x x , x0 3
2
Решение:
1) f ( 3) 4 3 9 2
2) f 1 2 x
3) f ( 3) 1 6 5
4) укас 2 5 ( х 3) 2 5x 15 5x 13
1
1
3
1
3
5) унорм 2 ( х 3) 2 x x 2
5
5
5
5
5

46.

№5
Найти угловой коэффициент и угол наклона
касательной. Составить уравнение касательной
к графику функции:
f ( x) 2 x 3x 4 12, x0 2
Решение:
1) f ( 2) 4 48 12 40
2) f 2 12 x3
3) f ( 2) 2 96 98 , k 98
4) arctg 98 89 24 55
5) ук 40 98 ( х 2) 98x 156

47.

Подготовка к самостоятельной работе
1) Дан закон движения материальной точки, найти
скорость и ускорение за время t:
S (t ) 5t 3 2t 2 6t 3, t 3c
2) Тело массой 26кг движется прямолинейно по закону.
Найти кинетическую энергию тела через 4 секунды после
начала движения:
2
S (t ) 3t 7t 2,5
3) Найти угловой коэффициент и угол наклона касательной:
y x 3 46 x 13, x0 2
4) Составить уравнение касательной к графику функции в
заданной точке:
y 6 8 x 2 x 2 , x0 6

48.

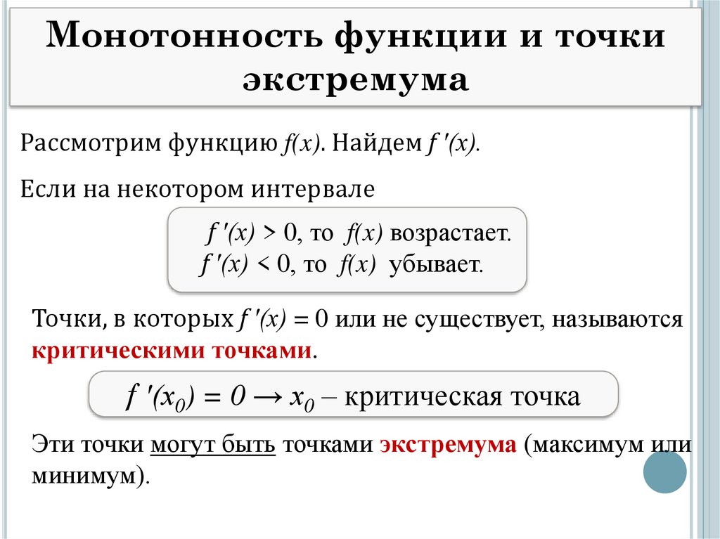
Монотонность функции и точки
экстремума
Рассмотрим функцию f(x). Найдем f ′(x).
Если на некотором интервале
f ′(x) > 0, то f(x) возрастает.
f ′(x) < 0, то f(x) убывает.
Точки, в которых f ′(x) = 0 или не существует, называются
критическими точками.
f ′(x0) = 0 → x0 – критическая точка
Эти точки могут быть точками экстремума (максимум или
минимум).

49.


+
х0
f ′(х)
х
f (х)
Если при переходе через
критическую точку производная
меняет знак с «+» на «–», то это
точка максимума.
х0
f ′(х)
х
f (х)
Если при переходе через
критическую точку производная
меняет знак с «–» на «+», то это
точка минимума.
х0
f ′(х)
х
f (х)
Если производная не изменяет
знак, то критическая точка не
является точкой экстремума.

+
+
+

50.

Правило исследования функции
на монотонность и экстремум
1. Найти производную функции f ′(x);
2. Найти критические точки (f ′(x)=0 или
не существует);
3. Исследовать знак производной на
промежутках, определить точки
максимума, минимума и промежутки
монотонности;
4. Вычислить значения функции в
точках экстремума

51.

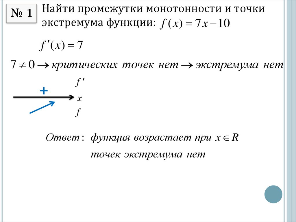
№ 1 Найти промежутки монотонности и точки
экстремума функции: f ( x) 7 x 10
f ( x) 7
7 0 критических точек нет экстремума нет
+
f′
х
f
Ответ : функция возрастает при x R
точек экстремума нет

52.

№ 2 Найти промежутки монотонности 2и точки
экстремума функции: f(x) 2x 4х 9
f (x) 4х 4
4х 4 0
4х 4
x 1
+ max _
1
ymax f(1) 2 12 4 1 9 2 4 9 7
Ответ: функция возрастает при x ;1
функция убывает при x 1;
1; 7 т. максимума
f′
х
f

53.

и точки
№ 3 Найти промежутки монотонности
экстремума функции: f ( x) x 3 6 x 2 9 х 8
f ( x) 3x 2 12 х 9
3 x 2 12 х 9 0
x 4х 3 0
2
x1 x2 4
x1 3 x2 1
x1 x2 3
+ max – min +
-3
-1
f′
х
f
ymax f ( 3) 3 6 3 9 3 8 8
3
2
3
2
ymin f ( 1) 1 6 1 9 1 8 12
Ответ : функция возрастает при x ; 3 1;
функция убывает при x 3; 1
3; 8 т. максимума 1; 12 т. минимума

54.

№ 4 Найти промежутки монотонности4 и точки
экстремума функции: f ( x) 2 x 8x 3 5
f ( x) 8x3 24 х 2
8 x 3 24 х 2 0
x 3х 0
3
2
x 2 ( x 3) 0
x1 0 x2 3


0
min
3
ymin f (3) 2 34 8 33 5 49
Ответ : функция возрастает при x 3;
функция убывает при x ;0 0;3
3; 49 т.минимума
+
f′
х
f

55.

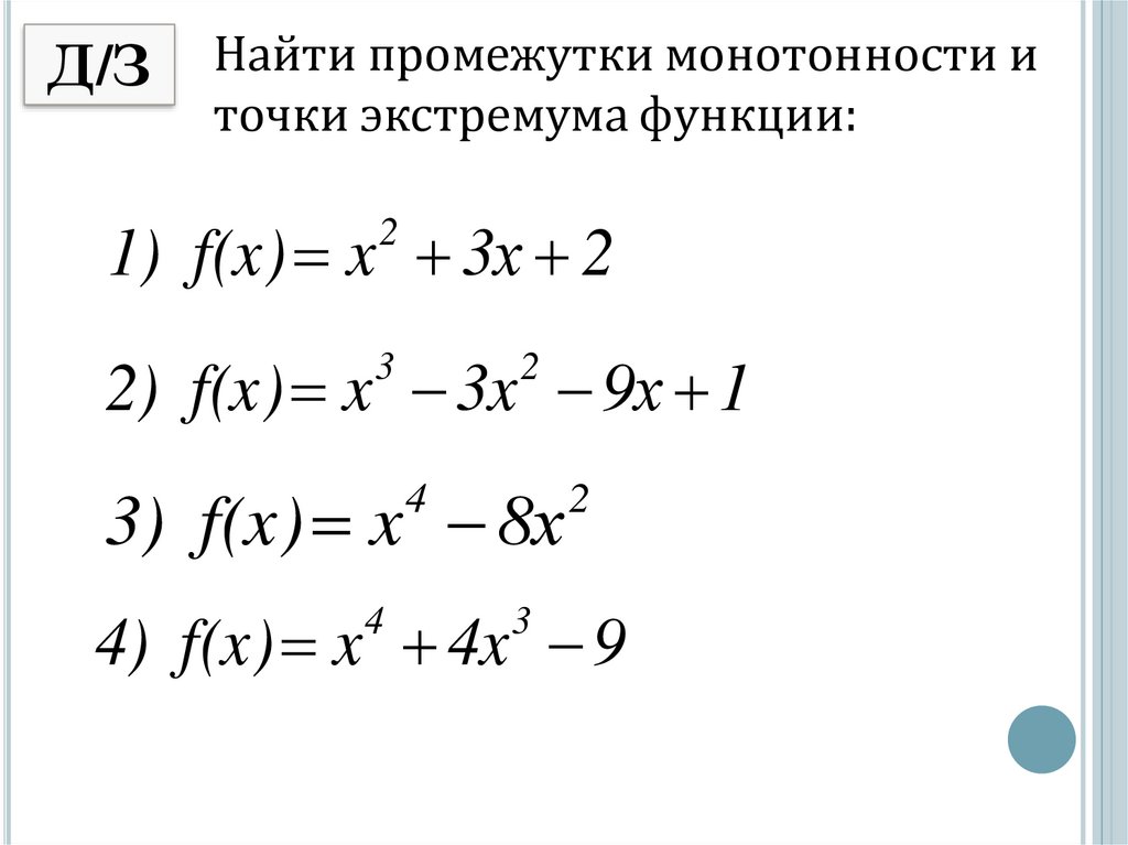
Д/З
Найти промежутки монотонности и
точки экстремума функции:
1) f(x) x 3х 2
2
2) f(x) x 3x 9х 1
3
2
3) f(x) x 8х
4
2
4) f(x) x 4x 9
4
3

56.

Правило исследования функции на экстремум с
помощью второй производной
1.
2.
3.
4.
Найти производную функции f ′(x)
Найти критические точки (f ′(x)=0 или f ′(x) не существует )
Найти вторую производную f ′′(x)
Исследовать знак второй производной в каждой из
критических точек. Если при этом вторая
производная окажется отрицательной, то функция в
такой точке имеет максимум, а если положительной,
то –минимум. Если же вторая производная равна
нулю, то экстремум надо искать с помощью первой
производной;
5. Вычислить значения функции в точках экстремума

57.

Исследовать функции на экстремум с
помощью второй производной:
1) f ( x) 6 x 16 х 9
2
2 3 2
2) f ( x) x x 4 х 7
3
3) f ( x) 3x 6 x 13
4
2

58.

Выпуклость и точки перегиба функции
Рассмотрим f ′′(x). Если на некотором интервале
f ′′(x) > 0, то f(x) выпукла вниз.
f ′′(x) < 0, то f(x) выпукла вверх.
Точки, в окрестности которых f ′′(x) меняет знак,
называются точками перегиба.

+
х0
f ′′(х)
х
f (х)
х0 – точка перегиба
у
точка
перегиба
х

59.

Правило нахождения
промежутков выпуклости и
точек перегиба
1. Найти производную функции f ′(x);
2. Найти вторую производную функции f ′′(x) ;
3. Найти критические точки ( f ′′(x) =0 или не
существует);
4. Исследовать знак второй производной на
промежутках, определить точки перегиба и
промежутки выпуклости;
5. Вычислить значения функции в точках
перегиба

60.

Исследовать функции на экстремум с помощью
второй производной:
1 3
2
1) f ( x) x 3x 5 x 5
3
4
2
2) f ( x) x 3x 4
Найдите промежутки выпуклости и точки
перегиба функции:
3) f ( x) x 6 x 2 x 7
3
2
4) f ( x) x 10 x 36 х 11
4
3
2

61.

Наибольшее и наименьшее
значение функции на отрезке
у
наибольшее
1) Если нет экстремума,
то наибольшее и
наименьшее значения
функции находятся на
концах отрезка.
наименьшее
а
в
х

62.

наиб
у
наиб
у
наим
наим
а
в х
а
в
х
2) Если экстремум есть, то наибольшее и
наименьшее значения функции могут быть
на концах отрезка или в точках
экстремума.

63.

Правило нахождения наибольшего
и наименьшего значения функции
1. Найти производную функции f ′(x);
2. Найти критические точки (f ′(x)=0), проверить
принадлежат ли они заданному промежутку;
3. Вычислить значения функции в точках,
которые принадлежат промежутку;
4. Вычислить значения функции на концах
промежутка (f(a) и f(b));
5. Сравнить полученные значения, выбрать
наибольшее и наименьшее значение
функции, записать ответ.

64.

№1
Найти наибольшее и наименьшее значения
функции на отрезке: f ( x) x3 1,5х 2 6 х 1, 2;0
Решение:
f ( x) 3x 3х 6;
x x 1
2
2
3x 3х 6 0; x х 2 0; x x 2
х1 1; х2 2. 1 2;0 ; 2 2;0 .
3
2
f ( 1) ( 1) 1,5( 1) 6( 1) 1 4,5
3
2
f ( 2) ( 2) 1,5( 2) 6( 2) 1 1
3
2
f (0) 0 1,5 0 6 0 1 1
2
1
1
наибольшее : f ( 1) 4,5
2
2
наименьшее : f ( 2) 1

65.

№ 2 Найти наибольшее и наименьшее
значения функции:
f ( x) x 7 х 11х 21 на отрезке [-1; 0].
3
2
f ( x) 3x 14 х 11
2
3 x 14 х 11 0
2
2
1 1;0 3 1;0
х1 1; х2 3
3
3
2
f ( 1) ( 1) 7( 1) 11( 1) 21 40
3
2
f (0) 0 7 0 11 0 21 21
3
2
f ( 1) 40 наименьшее
f (0) 21 наибольшее

66.

№3
f ( x)
Найти наибольшее и наименьшее
значения функции:
3
2
x 3х 9 х 35 на отрезке [-4; 4]
f ( x) 3x 6 х 9
2
3x 2 6 х 9 0; х1 1; х2 3
1 4;4 3 4;4
3
2
f ( 1) ( 1) 3( 1) 9( 1) 35 40
наибольшее
f (3) 3 3 3 9 3 35 8
3
2
f ( 4) ( 4) 3( 4) 9( 4) 35 41
3
2
f (4) 43 3 42 9 4 35 15
наименьшее

67.

№4
Найти наибольшее и наименьшее
значения функции:
1 2 1 3
f ( x) x х
2
3
на отрезке [1; 3].
f ( x) x x
2
x x 0; х1 0; х2 1 0 1;3 ; 1 1;3 .
2
1 2 1 3 1 1 1
f (1) 1 1
2
3
2 3 6
наибольшее
1 2 1 3 9 27
f (3) 3 3
4,5 9 4,5
2
3
2 3
наименьшее

68.

Задача 8
Из квадратного листа жести со
стороной 30 см надо изготовить открытую сверху
коробку, вырезав по углам квадратики и загнув
образовавшиеся кромки. Какой должна быть
сторона основания коробки, чтобы ее объем был
максимальным?
1
(30 х )
2
х
1
(30 х )
2
х
30

69.

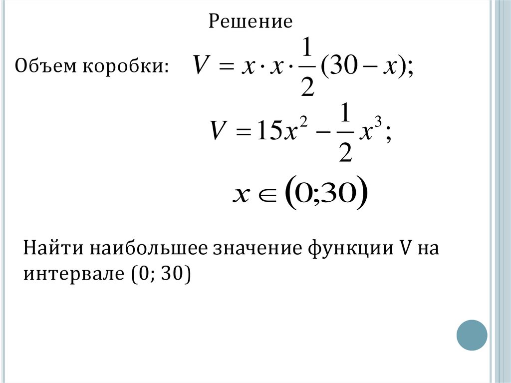
Решение
Объем коробки:
1
V x x (30 x);
2
1 3
2
V 15 х x ;
2
х 0;30
Найти наибольшее значение функции V на
интервале (0; 30)

70.

Решение
V 30 x 1,5х
30 x 1,5 х 0
2
2
x 30 1,5 x 0
x 0
x 0
x 20
30 1,5 x 0
х 0;30
0 0;30
20 0;30
1
3
3
V 20 15 20 20 2000 см
2
2

71.

Задача № 9
Как согнуть кусок проволоки
длиной 20 см, чтобы площадь ограниченного ею
прямоугольника была наибольшей?
Задача № 10
Представьте число 10 в виде
суммы двух положительных слагаемых так, чтобы
сумма их квадратов была наименьшей.
Задача № 11
Найдите число, которое в
сумме со своим квадратом дает этой сумме
наименьшее значение.

72.

ИССЛЕДОВАНИЕ
ФУНКЦИИ С ПОМОЩЬЮ
ПРОИЗВОДНОЙ И
ПОСТРОЕНИЕ ЕЕ
ГРАФИКА

73.

ОБЩАЯ СХЕМА ИССЛЕДОВАНИЯ
1) Найти область определения функции;
2) Найти точки пересечения графика с осями координат;
3) Найти промежутки монотонности функции и её
экстремумы;
4) Найти промежутки выпуклости графика функции и точки
перегиба;
5) Заполнить таблицу дополнительных значений;
6) Построить график функции, используя полученные
результаты исследования.

74.

ЗАДАНИЕ: ИССЛЕДОВАТЬ ФУНКЦИЮ С ПОМОЩЬЮ ПРОИЗВОДНОЙ
И ПОСТРОИТЬ ЕЁ ГРАФИК
y x 6 x 11x 6
3
2
Решение:
1) Область определения функции:
2) При пересечении с осью OY:
x R
x 0
y 0 6 0 11 0 6 6
3
2
0; 6
При пересечении с осью OX:
y 0
1;0 , 2;0 , 3;0
http://planetcalc.ru

75.

3) Найти промежутки монотонности и точки
экстремума функции: y x 3 6 x 2 11x 6
f ( x) 3x 2 12 х 11
3 x 2 12 х 11 0
x1, 2
12 144 4 3 11 12 12
2 3
6
+
x1 2,58 x2 1,42
max
1,42

min
+
2,58
f′
х
f
ymin f (2,58) 2,58 6 2,58 11 2,58 6 0,38
3
2
ymax f (1,42) 1,42 6 1,42 11 1,42 6 0,38
3
2,58; 0,38 минимум
2
1,42;0,38 максимум

76. Исследование функции с помощью производной и построение ее графика

4) Найти промежутки выпуклости графика
функции и точки перегиба:
f ( x) 6 х 12
6х 12 0
x 2

+
2
f ′′(х)
х
f (х)
y f (2) 2 6 2 11 2 6 0
3
2;0 т.перегиба
2

77. Общая схема исследования

5) Таблица дополнительных значений:
x
-1
y
y ( 1)
y ( 0,5)
y (0,5)
y (4)
-0,5
0
6
0,5
1
1,42
2
2,58
3
0
0,38
0
0,38
0
4

78. Задание: Исследовать функцию с помощью производной и построить её график

5) Таблица дополнительных значений:
y
-1
-0,5
0
0,5
6
24
13,125
1
1,42
2
2,58
0
0,38
0
0,38
3
38
x
0
1,875
y ( 1) 1 6 1 11 1 6 24
3
2
y ( 0,5) 0,5 6 0,5 11 0,5 6 13,125
3
2
y (0,5) 0,5 6 0,5 11 0,5 6 1,875
3
2
y(4) 43 6 42 11 4 6 6
4
6

79.

6) График функции:

80.

ЗАДАНИЕ ДЛЯ САМОСТОЯТЕЛЬНОГО РЕШЕНИЯ
ИССЛЕДОВАТЬ ФУНКЦИЮ С ПОМОЩЬЮ ПРОИЗВОДНОЙ И
ПОСТРОИТЬ ЕЁ ГРАФИК
f ( x) x 3 x 4
3
2

81.

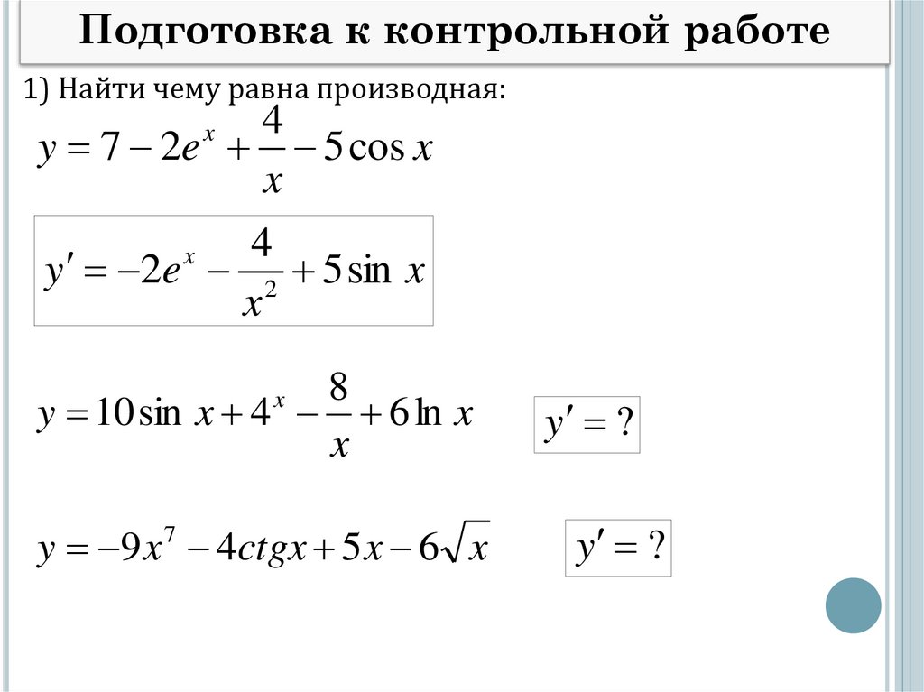
Подготовка к контрольной работе
1) Найти чему равна производная:
4
y 7 2e 5 cos x
x
4
x
y 2e 2 5 sin x
x
x
8
y 10 sin x 4 6 ln x
x
x
y 9 x 7 4ctgx 5 x 6 x
y ?
y ?

82.

Подготовка к контрольной работе
2) Найти чему равна производная функции в заданной точке:
y 2 x 5x 13x 8, y ( 3) ?
3
2
y 6 x 2 10 x 13
y ( 3) 6 9 10 3 13 97
y 4 x x 6 x 3, y (5) ?
3
y ?
y (5) ?
2

83.

Подготовка к контрольной работе
3) Дан закон движения материальной точки, найти
скорость и ускорение за время t:
S 15t 3 18t 2 9t 1,
S t 3 3t 2 7t 3,
t 1c.
t 2c.
v 45t 36t 9
v ?
a 90t 36
a ?
v (1) 72( м / с )
v(2) ?
2
a (1) 126( м / с )
2
a ( 2) ?

84. Задание для самостоятельного решения Исследовать функцию с помощью производной и построить её график

Подготовка к контрольной работе
4) Составить уравнение касательной:
y 4 x 5x 6,
2
x0 4
y(4) 4 42 5 4 6 50
y 8 x 5
y x 3x 4, x0 2
2
y ( 2) ?
y ?
y (4) 8 4 5 27
y ( 2) ?
yкас 50 27 x 4
yкас ?
yкас 27 x 58

85.

Подготовка к контрольной работе
5) Найти экстремумы функции:
y 2 x 9 x 12 x 18
3
y 6 x 2 18x 12
6 x 2 18 x 12 0
2
– min
1
+
max

х
2
x 3x 2 0
ymin y(1) 2 13 9 12 12 1 18
x1 1, x2 2
ymin y(1) 13
ymax y (2) 2 23 9 2 2 12 2 18
2
ymax y(2) 14
Максимум : 2;14
Минимум : 1;13

86.

Подготовка к контрольной работе
5) Найти экстремумы функции:
y x 9x 4
3
2

87.

Подготовка к контрольной работе
6)Найти наибольшее и наименьшее значения функции на
отрезке:
4
y x 4 x 1, x 0;3
y 4 х 4
3
3
3
4x 4 0; 4 x 4; x 1; x 1
3
y(1) 14 4 1 1 2
y ( 0) 1
1 0;3
Наибольшее : y(3) 70
Наименьшее : y(1) 2
y(3) 3 4 3 1 70
4

88.

Подготовка к контрольной работе
6)Найти наибольшее и наименьшее значения функции на
отрезке: y x 2 5 x 3, x 1;3
English     Русский Правила