Уравнения и методы их решения
Показательные уравнения
Методы решения:
Приведение к одному основанию:
Разложение левой части уравнения на множители:
Замена переменной, приведение к квадратному:
Деление левой и правой частей уравнения на степень:
Примеры для самопроверки:
Типовые задания ЕГЭ:
Тригонометрические уравнения
I) Уравнения Cosx=a, a [-1; 1]
Например.
II) Уравнения sinx=a, a 1; 1]
Например.
III) Уравнения tgx=a, a
Например.
Методы решения тригонометрических уравнений.
2.разложение левой части на множители
3.однородное уравнение 1-ой степени asinx+bcosx=0 Решается делением на cosx0
4.однородное уравнение 2-ой степени asin2x+bsinxcosx+ccos2x=0
5. Уравнение вида asinx+bcosx=c
Уравнения для самостоятельной работы! Базовый уровень
Повышенный уровень
Трудные задания
Трудные задания
Уравнение с модулем
Методы решений.
метод интервалов:
метод интервалов:
метод интервалов:
Базовый уровень
Повышенный уровень
2)Метод приведения логарифмических уравнений к квадратному.
3) Метод потенцирования
4)Метод приведения логарифмов к одному основанию. Используя формулу
5)Метод логарифмирования
Решить уравнение показательные по образцу.
Решить логарифмические уравнения, упростив правую часть.
Решите уравнения, приведя к логарифмам с одинаковыми основаниями.
Решить уравнения
Решить уравнение
Метод монотонности функций.
Алгоритм решения уравнения методом использования монотонности.
Уравнение с завуалированным обратным числом.
Например!
Используемая литература
684.00K
Категория: МатематикаМатематика

Уравнения и методы их решения

1. Уравнения и методы их решения


Над проектом работали:
Маслов Андрей
Мулярчук Екатерина
Фадеенко Виктор
• МКОУ СОш с Красное 2014

2. Показательные уравнения

Опред.: Уравнение вида aх=b ,
называется показательным

3. Методы решения:

• Приведение к одному основанию
• Разложение левой части уравнения на
множители (выносим степень с
наименьшим показателем)
• Замена переменной, приведение к
квадратному (подстановка)
• Деление левой и правой частей уравнения
на степень

4. Приведение к одному основанию:

2 3х · 3 х =576
х
х
(2³) · 3 =576
х
х
8 ·3 =576
24 х =24²=>х=2

5. Разложение левой части уравнения на множители:

3 х+1 - 2 · 3 х-2 =25
3 х-2(3³-2)=25
3 х-2 · 25=25 |:25
3 х-2 = 1
3 х-2 = 30=>х-2=0
х=2

6. Замена переменной, приведение к квадратному:

9х – 4 · 3х – 45=0
32х– 4 ·3х -45=0
3х =t=>t²-4t-45=0
t +t =4 t =9
t +t =45 t =-5п.к.
1
2
1
2
1
2
3х =9
3х =3²=>х=2

7. Деление левой и правой частей уравнения на степень:

3х = 52х
х
3 = 25
1= 25
3
х
|÷3
х
25 º
3
х
х
25 =>x=0
3

8. Примеры для самопроверки:

7 · 5х– 5х+1 = 2 · 5-3;
1 0,5х-1 9;
27
х²
х +1
2
+ 14 · 2
х +6
·3
7
х +6
– 29=0;
=73х·33х

9. Типовые задания ЕГЭ:

1.Решить уравнение:
х
5 =125;
2.Решить уравнение:
1 0,1х-1_ 16;
32
¯
3.Указать промежуток, которому принадлежит корень
уравнения:
3х²+х-12 = 1;

10.

4.Решить уравнение:
х+1
х-2
3 - 2 ·3 =25;
5.Решить уравнение:

х
3 – 4 ·3 – 45=0;
6.Решить уравнение:
32х-1 – 22х-1 = 0;
7.Решить уравнение:
32х+5– 22х+7 + 32х+4 - 22х+4= 0;

11.

8.Найти промежуток, которому принадлежат все
решения уравнения:
3 · 16х + 2 · 81х =5 · 36х;
9.Указать промежуток, которому принадлежит
корень уравнения:
52х– 4 · 5х– 5 = 0;
10.Решить уравнение:
3Sin²x + 3Cos²x = 4

12.

В4.Найти модуль разности корней:
4х-√х²-5 - 12 · 2х-1-√х²-5 + 8 = 0;
В5.Решить уравнение:
23х-1 · 53х-1 = 100;
В6.Решить уравнение:
х
х
х
√3 · 2 − 4 − 2 = 1−2 ;
В7.Решить уравнение:
32х+3 · 33х+1 · 625х+2 = 600х+7;

13. Тригонометрические уравнения

14. I) Уравнения Cosx=a, a [-1; 1]

а) Cosx=a, а
X=
б)Cosx=a, a
(0; 1)
аrccosa +2
X=
n,n
Cosx=0
X=
+2
( -arccosa) +2
Cosx=-1
X=
,n
Cosx=1
X=2
(-1;0)
+2

15. Например.

Cosx= ,
+2
X=
X=
+2
, -
Cosx=-
X=
(-1; 0)
-arccos )+2 k, k
(
X=
-
X=
+2
)+2
k, k
k, k Z

16. II) Уравнения sinx=a, a 1; 1]

Sinx=a, a (-1;0)
Sinx=a, a (0; 1)
X= (-1)narcsina +
n, n
X= (-1)n+1arcsina+
Z
Sinx= 0
X=
Sinx= 1
n, n Z
X=
Sinx= -1
X= -
+ 2 n, n
+2
K, k Z
n, n Z

17. Например.

Sinx= ,
X= (-1)narcsin
X= (-1)n
Sinx= -
(0; 1)
+
+
n
Z
Z
X=(-1)n+1arcsin
X=(-1)n+1
(-1; 0)
, -
+
+
n, n Z
Z

18. III) Уравнения tgx=a, a

tgx=a, a
x=arctga +
tgx= -a , a
0
Z
x= -arctga +
n, n
Z

19. Например.

tgx=
[0;
,
x=arctg
x=
+
)
tgx= -
,-
x= -arctg
Z
x= -
+
+
(-
; 0)
n, n
Z
Z

20. Методы решения тригонометрических уравнений.

1)Уравнения, сводящиеся к квадратным
а) Sin2x + sinx – 2=0
Sinx=t, t
[-1;1]
t2 +t-2=0
t1=1,
t2=-2-п.к так
как -2∉ -1; 1]
sinx=1,
x= + 2

21. 2.разложение левой части на множители

Cosx=cos3x
Cosx-cos3x=0
-2sin2xsin(-x) =0
Sin2x=0
2x=
X=
sinx=0
или
x=
,n

22. 3.однородное уравнение 1-ой степени asinx+bcosx=0 Решается делением на cosx0

+
= 0
sinx+cosx=0 |:cosx
0
tgx+1=0
atgx+b=0
x=-arctg
+
tgx=-1
x=-arctg1 +
x=-
+
n, n
Z

23. 4.однородное уравнение 2-ой степени asin2x+bsinxcosx+ccos2x=0

asin2x+bsinxcosx+ccos2x=0 |:cos2x
0
3sin2x-7sinxcosx+2cos2x=0|:cos2x
atg2x+btgx+c=0
0
3tg2x-7tgx+2=0
tgx=t, at2+bt+c=0
Д=b2-4ac
tgx=t,
3t2-7t+2=0
Д= b2-4ac=25,
t1,2=
Д
t1,2=
tgx=
tgx=2
x1=arctg(
x2= arctg(
)+
)+
n
n
x=arctg2+
tgx=
x=arctg
+ k, k
Z

24. 5. Уравнение вида asinx+bcosx=c

Sinx-cosx=1
asinx+bcosx=c
=
Sinx +
sinx –
cosx=
=cos
Sin( x -
=sin
XCos
Sin (
+ sin
)=
= (-1)n
+
+
+
cosx=
X= (-1)n
+ x) =
X= (-1)narcsin
cosx=
-
+
n, n
z
,n
Z

25. Уравнения для самостоятельной работы! Базовый уровень

•Sinx+cosx=0
•Sinx=
•2cos(2x-
•Cosx=-
•Sin(x-
)=
)=0
•tgx=
+1=0
•1+sin(
•Sin2x=
)=0
tgx-1=0

26. Повышенный уровень

•2sin2x+3sinxcosx-2cos2x=0
•tg(3x+600)=
=0
•ctg(
-1)sin(
-1)ctgx=0
•3sinx+4cosx=10
•Sinx-sin2x+sin3x-sin4x=0
•Sinx-sin2x+sin3x-sin4x=0
•Cosx+cos
=
•Sin3x-sin9x=0
•4sin
- cos
=
•Sinx-cosx=4sinxcos2x

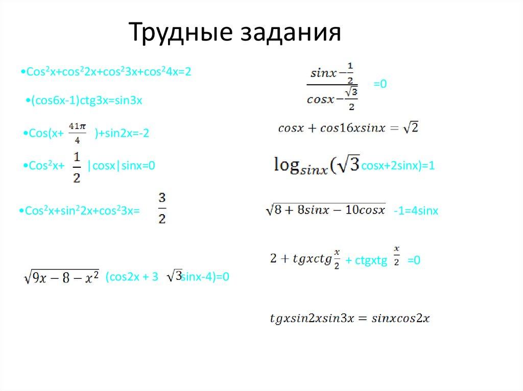
27. Трудные задания

•Cos2x+cos22x+cos23x+cos24x=2
=0
•(cos6x-1)ctg3x=sin3x
•Cos(x+
)+sin2x=-2
•Cos2x+
|cosx|sinx=0
cosx+2sinx)=1
•Cos2x+sin22x+cos23x=
-1=4sinx
+ ctgxtg
(cos2x + 3
sinx-4)=0
=0

28. Трудные задания

=0
cosx-cos3x+2
удовлетворяющие условие:
|x+
|
+2cosx=0
=0,
удовлетворяющие условию

|x|
= -4
+
=8

29. Уравнение с модулем

Определение:
a
a

30. Методы решений.

•По определению модуля:
|x+1|=3
=
и
=
=
=>x=-4

31. метод интервалов:

|x+1| + |x-1| + |x+10|=12
1.найдём корни подмодульных выражений:
X=-1
x=1
x=-10
2.нанесём корни на числовую ось
-10
-1
1

32. метод интервалов:

=
=
3.
x=
посторонний корень
=
=
=

33. метод интервалов:

=
x=
– посторонний корень
Ответ:x1=-2 x2=0
=
=

34. Базовый уровень

1.|x+3|=12
2. x+5=|x|
3. |x-15|=25x
4.|2x|=100
5.|x-40|=80
6.|x|=5
7. |x|=3x+10
8. |3x-9|=1

35. Повышенный уровень

1.|
=
-
–5
7. x2-5x 8. x2-|3x-5|=5|x|
2.|x2-5x+6|=x+1
9. |x+5|=|2x-3-x2|
3.|x-3|+2|x+1|=4
10. 3|2x2+4x+1|=|x2+5x+1|
4.|5-2x|+|x+3|=2-3x
11.|2x-y-3|+|x+5y-7|=0
5.
=|x|+2
6. x|x|+7x+12=0

36.

37.

• При решение логарифмических уравнений
применяют, такие преобразования, которые не
приводят к потери корней, но могут привести к
приобретению посторонних корней. Поэтому
проверка каждого из полученных корней путем
подстановок и их в исходное уравнение
обязательно, если нет уверенности в
равносильности уравнений. Проверку найденных
корней можно заменить нахождением области
определения уравнений. Тогда корнями
уравнения, будут те числа, которые
принадлежат этой области.

38.

Методы
решения
логарифмических
уравнений.

39.

1)Решение
логарифмических
уравнений
на основании определения
логарифма.
(2x+1)=2
2x+1=
2x+1=9
X=4
Проверка
(2×4+1)=
9=2
Ответ:х=4

40. 2)Метод приведения логарифмических уравнений к квадратному.

(
ОДЗ:
=
+1)=2
=
X
По определению логарифма
(x+1
=2
+2x+1=
+1
+1
-2x=0
=0
=2
Ответ: х=2

41. 3) Метод потенцирования

)
ОДЗ
=
=
=
0
Применяя метод потенцирования,
получили
Х=6+х-6=0
=2,
Ответ:х=2
=-3 –п.к

42. 4)Метод приведения логарифмов к одному основанию. Используя формулу

=2n
Где а

=2n|
1,n
f(x)
z.
|,
где a
,
a
.
ОДЗ:
-5
+5x-6=0
=-5
+
=-6
0

43. 5)Метод логарифмирования

ОДЗ:
=
=
1+
=
1+
,2 =
2
X=3
ОД
З
x

44. Решить уравнение показательные по образцу.

-6
)=
=4
ОДЗ:
ОДЗ:
=
р.м.п
У=
;
У=0=
=
Д=4+24=28
=
Ответ: Х =1
х
1-
;

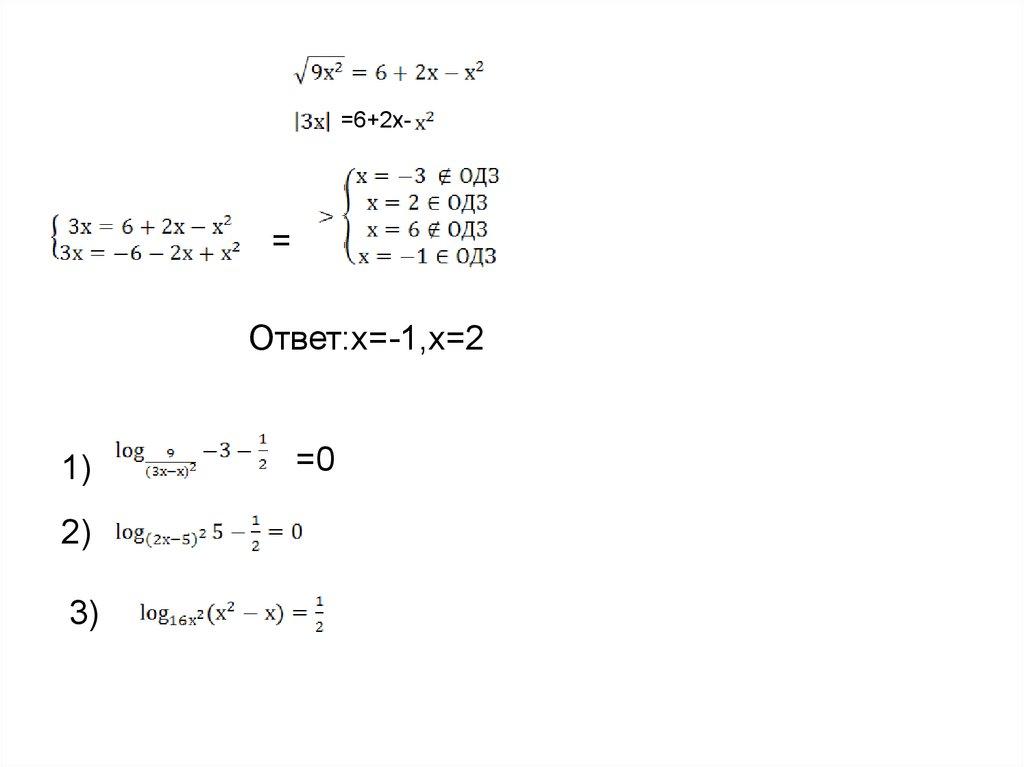
45.

=6+2х-
=
Ответ:х=-1,х=2
1)
2)
3)
=0

46. Решить логарифмические уравнения, упростив правую часть.

1)
2)
3)
4)

47.

Решить уравнение по образцу
2
Х=0∉ОДЗ , х=
Ответ: х=

48. Решите уравнения, приведя к логарифмам с одинаковыми основаниями.

1.lg (x+2) +
3+26)=0
3)
+log3(-x-1)=0
2+x-5)+
=log3
-log4
=-9

49. Решить уравнения

1.Xlog3x-3=
1.2log2(1-
)=3log2(2+
1.0,1x1+lgx=1
= 4log7(
)+12
(
)0,75)
1.Xlog4x=23(log4x+3)=0
1.log3x-log3(x+8)=-log3(x+3)
-6=0
1.X2log2x+3
1.-4+log2(5-log0,2125)x2-x=0
1.log2(x+1)+log2(x+2)=1
1.2log4(4-x)=4-log2(-2-x)
1.Log2
1.Log2(log5x)=1
1.log2(x+1)=1+2log2x
1.lg(x+ )-lg(x- )=
1.log2
1.5x2-8x+5
lg(x+6)-
2
2
lgx
-1=log2
1.3log2x2-log22(-x)=5
1.logx
=0
1.Log2 (24-x-2x+7)=3-x
+7=0
log25x=-1
1.Lg2(x+1)=lg(x+1)lg(x-1)+2lg2(x-1)
1.log3|x+8|+
log3x4=2

50. Решить уравнение

1.Log3x+7(9+12x+4x2)+log2x+3(6x2+23x+21)=4
1.log(100x3)lg
=8
log6x2=1
1.log6(x+5)+
=
1.Log3(x+2)(5x)-log3
1.Log4log2x+log2log4x=2
-log77=
1.4
1.lg
-log24=log77x
+lg
1.log23x+ log2x3+3log3x+3logx3=2
1.2log3xlog2x+2log3x-log2x-1=0

51. Метод монотонности функций.

Теорема 1. Если одна из функций возрастает, а другая убывает
на промежутке, то уравнение f(x)=g(x) имеет не более одного корня.
Теорема 2. Если одна функция возрастает (убывает), а вторая принимает
постоянные значения на некотором промежутке, то уравнение
имеет не более одного корня.

52. Алгоритм решения уравнения методом использования монотонности.

1.Иследовать на монотонность функции f(x) и g(x) в О.О.У
2.Если выполняются условия теоремы f(x) и g(x) и удается подобрать
удовлетворяющие уравнению f(x)=g(x), то -единственный корень
этого уравнения
, (
)-функция возрастает т.к
возрастает и
возрастает и в правой части уравнения постоянная функция, то
уравнения имеет один корень.
9+16=25
25=25

53.

,
(
возрастает функция и
-возрастающая и
)-возрастающая функция ,в правой части постоянная
функция.
Х=1, 6- 4
Х=2, 36-16
Х=3 , 216-64=152

54.

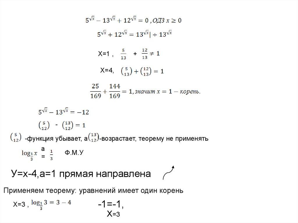
Х=1 ,
+
Х=4,
-функция убывает, а
а
=
-возрастает, теорему не применять
Ф.М.У
У=х-4,а=1 прямая направлена
Применяем теорему: уравнений имеет один корень
Х=3 ,
-1=-1,
Х=3

55. Уравнение с завуалированным обратным числом.

)x +(
(
(4+
t(
t+
)x=8
)=16-16=1=
) =1=
4-
4+
=t
=
=8| t
t2-8t+1=0
д=b2-4ac=64-4=60
t1,2=
=
)x=(4+
(
=1
X=2
=4
)
)x=(4-
(
= -1
x= -2
)

56. Например!

1) (
)x + (
1)(
)x + (
)x=6
)x=10

57. Используемая литература

• С.М.Никольский- алгебра 10-11класс
• Ш.А.Алимов и др- алгебра 10-11класс
• Справочник по математике 5-11 класс
• Т.С. Кармакова -элективный курс «Методы
решения нестандартных уравнений»
English     Русский Правила