Тема урока: Умножение одночлена на многочлен.
Умножение одночлена на многочлен
Умножение одночлена на многочлен.
Умножение одночлена на многочлен
Умножение одночлена на многочлен
Умножение одночлена на многочлен
Умножение одночлена на многочлен
Умножение одночлена на многочлен
Умножение одночлена на многочлен
399.50K
Категория: МатематикаМатематика

Умножение одночлена на многочлен

1.

«Умножение одночлена на многочлен»
Краснова Лидия Егоровна,
учитель математики

2.

«…математика … выявляет
порядок, симметрию
и определенность, а это –
важнейшие виды прекрасного».
Аристотель.

3.

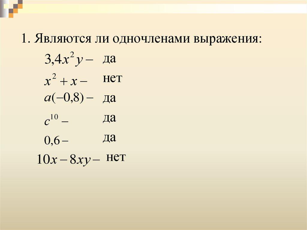
1. Являются ли одночленами выражения:
2
3,4 х у да
х 2 х нет
а ( 0,8) да
10
да
с
да
0,6
10 х 8 ху нет

4.

2. Выполнить умножение степеней:
а) х у ( 6) ху 6 х у
2
5
4 3 3
б ) ав ав
9
2
2
3
2 2 4
ав
3
7

5.

3. Выполнить возведение в степень:
а)( 2а в )
8а в
б )( а вс )
а вс
4 2 3
2
3 6
12 6
12 6 18

6.

4.
Приведите
многочлена:
подобные
члены
а)10 х 8 ху 3ху 10 х 11ху
б )12а 9а 9в 6в в 3а 2в
2
2
2

7.

5. Раскрыть скобки:
а)(1 3а) (а 2в) 1 3а а 2в
2
2
б )( х 5 у) (5х 2 у)
2
х 5 у 5х 2 у
2
х 3 у 5х.
2

8.

Математический диктант
№1
Вариант 1
Вариант 2
вс ( 5в ) ( 8с)
2 х 3х у
2
2
2
3

9.

Математический диктант
№2
Вариант 1
3ху
Вариант 2
3
2ав
2

10.

5а 2 вх
Математический диктант
№3
Вариант 1
5а вх
2
и
7асх 2
Вариант 2
3в сd
3
и
2в у
2

11.

Математический диктант
№4
4 х 5х 7
3
и
х 8х
3

12.

Математический диктант
№5
Вариант 1
2 х( х 7 х 3)
2
Вариант 2
4в 2 (5в 2 3в 2)

13.

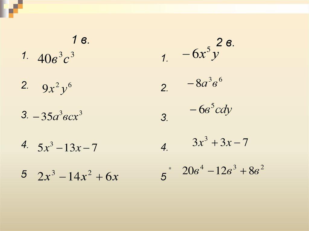
1 в.
1.
40в 3 с 3
2.
9х у
2
6
3. 35а 3всх 3
4. 5 x 13x 7
3
5*
2 х 3 14 х 2 6 х
2 в.
6х у
5
1.
2.
8а 3 в 6
6в сdу
5
3.
4.
*
5
3x 3 3x 7
20в 4 12в 3 8в 2

14.

Проблемное задание:
2 х ( х 7 х 3) ?
2
4в (5в 3в 2) ?
2
2

15.

Цель урока: выработать правило
(алгоритм) умножения одночлена на
многочлен и рассмотреть его
применение на примерах.

16. Тема урока: Умножение одночлена на многочлен.

17. Умножение одночлена на многочлен

Задание для групп:
1. Обсудите в группе решение последнего задания диктанта:
2 х ( х 2 7 х 3)
2.Попытайтесь
сформулировать
правило умножения одночлена на
многочлен и выдвиньте свою гипотезу.
3. Обоснуйте свою гипотезу (почему можно так делать).
4.Через три минуты представьте свой материал классу (используйте
плакат, фломастеры).

18. Умножение одночлена на многочлен.

Распределительное свойство умножения:
а(в+с)=ав+ас
а(в+с+d)=ав+ас+аd

19. Умножение одночлена на многочлен

а (в + с + d) = ав + ас + аd,
2
а = 2х, в = х , с = -7х, d = 3
2
2
2х ( х 7 х 3) 2х х +2х ( 7 х)+2х 3 =
2 х 14 х 6 х
3
2

20. Умножение одночлена на многочлен

4в (5в 3в 2)
2
2

21. Умножение одночлена на многочлен

5а (3а а а)
3
3
2

22. Умножение одночлена на многочлен

5а (3а а а)
3
=
3
2
5а 3 3а 3 5а 3 ( а 2 ) 5а 3 а 15а 6 5а 5 5а 4

23. Умножение одночлена на многочлен

1.
2.
3.
Заполните пропуски: чтобы умножить одночлен на многочлен,
нужно умножить этот одночлен на каждый член многочлена
и полученные произведения сложить .
2. Выполните умножение
а) 7а 3 (2а 7 5а 2 ) = 7а 3 2а 7 7а 3 ( 5а 2 ) 14а10 35а 5 ;
3
3
3
6
5
4
б) 5х 3 (3х 3 х 2 х) 5х 3х 5х ( х 2 ) 5х 3 х 15 х 5 х 5 х
3. Впишите пропущенный множитель:
а) 3а ( х 2 2 у) 3ах 2 6ау;
2
Б) 7ав (а – 2) 7а в 14ав.

24. Умножение одночлена на многочлен

1 вариант
2 вариант
3х (2х-1)
2у (4у-2)
8в (2а в 1)
2
3
5а (а 2в 4)
3
4

25.

Цель урока: выработать правило
(алгоритм) умножения одночлена на
многочлен и рассмотреть его
применение на примерах.
English     Русский Правила