Пример 1.
2.67M
Категория: МатематикаМатематика

Различные способы решения тригонометрических неравенств

1.

Мильтюсова Анна 10 класс

2.

3.

Отметить на линии синусов число а.
Отметить все синусы, которые больше(меньше) числа а.
Выделить на единичной тригонометрической окружности дугу, на которой
находятся точки t, удовлетворяющие данному условию.
Записать ответ. Если выделенная дуга прошла через 0 , то для записи
предельных точек выбирают разное направление(один угол
отрицательный, другой – положительный). Если выделенная дуга не
прошла через 0 , то для записи предельных точек выбирают одно
направление.

4.

Отметить на линии косинусов число а.
Отметить все косинусы, которые больше(меньше) числа а.
Выделить на единичной тригонометрической окружности дугу, на которой
находятся точки t, удовлетворяющие данному условию.
Записать ответ. Если выделенная дуга прошла через 0 , то для записи
предельных точек выбирают разное направление(один угол
отрицательный, другой – положительный). Если выделенная дуга не
прошла через 0 , то для записи предельных точек выбирают одно
направление.

5.

Отметить на линии тангенсов число а.
Отметить все тангенсы, которые больше(меньше) числа а.
Выделить на единичной тригонометрической окружности дугу, на которой
находятся точки t, удовлетворяющие данному условию.
Записать ответ. Если неравенство имеет вид tg t < a, то решение
записывается в виде: - π/2 + πn<t<arctg a+πn, nЄz.
Если tg t > a, то неравенство имеет решение
arctg a+πn <t<π/2+πn,nЄz.

6.

Отметить на линии котангенсов число а.
Отметить все котангенсы, которые больше(меньше) числа
а.
Выделить на единичной тригонометрической окружности
дугу, на которой находятся точки t, удовлетворяющие
данному условию.
Если ctg t>a, то решением является пn<t<t1 + πn, n Є Z.
Если ctg t<a, то t 1+ пn<t<п + пn, n Є Z.

7.

вида sin x >a
(sin x < a)
Строим графики y=sin x и y=a, считая, что |a|<1.
Записываем уравнение sin x=a и его решение x=(-1)
к
arcsin a + пn, n Є Z.
Придавая n значения 0; 1; 2, находим три корня составленного уравнения:
x0 = arcsin a, x1 = -arcsin a+п, x 2= arcsin a + 2п.
Значения x 0, x1 и x
2
являются абсциссами трёх последовательных точек
пересечения графиков y=sin x и y=a.
На интервале (х0 ;х1 ) выполняется неравенство sin x>a, а на интервале
(х1 ;х2 ) – неравенство sin x<a.

8.

Добавив к концам этих промежутков число, кратное периоду
синуса, в первом случае получим решение неравенства sin x>a в
виде:
x0 + 2пn<x<x1 + 2пn, n Є Z;
во втором случае – решение неравенства sin x<a в виде:
x1 + 2пn<x<x2+ 2пn, n Є Z.

9.

вида cos x >a ( cos x < a)
Проводим аналогичные рассуждения для косинуса.
В отличие от синуса из формулы x=±arccos a + 2пn, n Є Z, при
n=0 получаем два корня x0 = -arccos a, x1 = arccos a.
Третий корень при n=1 в виде x3 = -arccos a + 2п.
x0 ,x1 и x2 являются тремя последовательными абсциссами точек
пересечения графиков y=cos x и y=a.
В интервале (х0 ;х1 ) выполняется неравенство cos x>a, в
интервале
(х1 ;х2 ) – неравенство cos x<a.

10.

Запишем решения неравенств cos x>a и cos x<a.
В первом случае получим:
x0 + 2пn<x<x1 + 2пn, n Є Z.
Во втором:
x1 + 2пn<x<x2 + 2пn, n Є Z.

11.

2
Привести неравенство к такому виду, чтобы в одной
его части(например в правой) стоял ноль.
Определить нули и точки разрыва функции, стоящей
в левой части неравенства.
Расставить на единичной окружности точки,
являющиеся представителями всех найденных чисел.
.

12.

Выбрать произвольное число F (значение аргумента
функции, стоящей в левой части неравенства), не
совпадающее ни с одним из ранее полученных чисел.
Провести луч Ох1 под углом F к координатному лучу
Ох.
На луче Ох1 получить контрольную точку Хк . Для
этого подставить число F в левую часть неравенства и
определить знак получившегося выражения.

13.

Если
выражение больше нуля,
то Х к - это произвольная
точка луча Ох1,
лежащая вне единичной
окружности.
Иначе Хк– это
произвольная точка луча Ох1
внутри единичной
окружности.

14.

Начиная
с точки Х провести
плавную линию так, чтобы она
пересекала единичную
окружность во всех отмеченных
точках последовательно в
порядке обхода единичной
окружности против часовой
стрелки. Пройдя все точки, линия
должна вернуться в точку Х .

15.

Выбрать нужные участки
конфигурации, которую
образовала проведённая линия.
Для этого: если выражение,
стоящее в левой части
неравенства, больше нуля,
-то выбрать участки фигуры,
лежащие вне единичной
окружности.
-Иначе – выбрать те участки
фигуры, которые расположены
внутри единичной окружности.

16.

Отметить
стрелками в
положительном направлении
те дуги единичной
окружности, которые
принадлежит выбранным
участкам. Эти дуги
соответствуют множеству
решений неравенства.

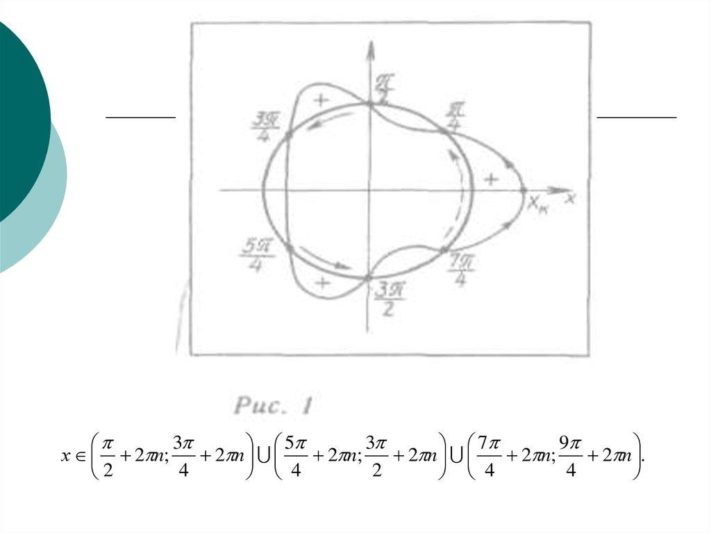
17. Пример 1.

Решите неравенство cos 3х: + cosx>0.
Приведем левую часть неравенства к
виду 2 cos 2x cos x и рассмотрим
уравнение
2 cos 2x-cos х=0, которое равносильно
совокупности уравнений:
cos 2 x 0,
cos x 0.

18.

I серия значений х:
х1 = (π/4) + (πп/2).
II серия значений х:
х2 = (π/2)+πп.

19.

Заполним теперь единичную
окружность соответствующими
точками. Для I серии достаточно
взять п = 0, 1, 2, 3. Тогда
значения х1 соответственно
равны π/4, Зπ/4, 5π/4, 7π/4 (при
остальных значениях п точки
будут повторяться).

20.

Значения из серии х2 на
единичной окружности можно
представить точками π/2 и Зπ/2,
которые получены при п = 0 и
п=1.

21.

Выберем теперь контрольную точку,
положив α=0. Тогда
cos3*0 + cos 0=2>0. Значит, в данном
случае луч Ох' совпадает с
координатным лучом Ох (угол между
ними равен 0). Выберем на луче Ох
произвольную точку Xк, находящуюся
вне единичной окружности.
Соединяем точку Xк со всеми
отмеченными точками на единичной
окружности так, как показано на
рис. 1.

22.

3
3
9
5
7
х 2 n;
2 n
2 n;
2 n
2 n;
2 n .
4
2
4
2
4
4
English     Русский Правила