Тема урока: Решение задач с помощью систем уравнений.
Актуализация опорных знаний.
Для решения задач с помощью систем уравнений необходимо
Решить предложенную задачу с использованием данного алгоритма.
Задачи для самостоятельного решения
Задачи для самостоятельного решения
Задачи для самостоятельного решения
Алгоритм решения задач на совместную работу.
Задача №1
Решение задачи
Составим систему:
Решаем систему способом подстановки
Задача №2
Задача №3
Поможем агроному
Алгоритм решения задач, в которых используется формула двузначного числа.
Задача №1.
Решение задач
Домашнее задание:
868.30K
Категория: МатематикаМатематика

Решение задач с помощью систем уравнений

1.

1

2.

1.Является ли пара чисел (0;1) решением системы уравнений
х у 1;
у 2 х 1?
2
2
Ответ: Да.
0 1 1;
1 2 0 1.
2

3.

Выразите одну переменную через другую
у-2х=2
у=2х+2
х-3у+1=0
х=3у-1
ху=6
3х+2у=5
6
у
х
у=2,5-1,5х

4.

Какую фигуру задаёт уравнение ?
у=0,5х²+1
х²+у²=4
ху+1=0
х³-у=0
2х+3у=4
(х-2)²+(у+3)²=49

5.

2.Сколько решений имеет система уравнений?
2
а)
1
х у 16;
2
у ( х 2) .
2
2
Ответ: 2
1
у х 2 4 х 1;
б)
ху 6.
Ответ: 3
2
3
5

6.

3.Определить для каждой системы уравнений
рациональный метод решения:
6

7.

( х 4) 2 ( у 5) 2 16;
8
а)
у
х
1.Метод
алгебраического
сложения.
у 2 5 х 4;
б) 2
2
х
у
16.
2.Метод замены
переменных.
в)
4 х 2 у 14;
4 х 8 у 18.
х у 10
;
г) у
х
3
х у 6.
3.Метод
постановки.
4.Графический
способ
7

8.

Эту находку называют «Арифметика из
Бахшали». Её нашли при раскопках в Индии в
местечке Бахшали и относится она к VII и VIII
веку нашей эры.
«Найти число, которое от прибавления 5 или
отнятия 11 обращается в полный квадрат».
п 5 х ;
2
п 11 у .
2
8

9. Тема урока: Решение задач с помощью систем уравнений.

5klass.net

10. Актуализация опорных знаний.


Два уравнения с двумя переменными, объединённые фигурными скобками
называются …….
Решением системы уравнений с двумя переменными называется ……….
Решить систему уравнений – значит ……
Способы решения систем уравнений: ………
Уравнение окружности, центр которой находится в начале координат имеет вид: ……..
2
Графиком функции у = ах является ……….
Линейная функция имеет вид: ……………
Графиком линейной функции является ………..
Площадь прямоугольника вычисляется по формуле: ……
Теорема Пифагора (формулировку и формулу) ………..
Квадратичная функция имеет вид: …….
к
Графиком функции у = ------ является: ……………
Х
Прямая пропорциональность имеет вид: …………..
Периметр прямоугольника вычисляется по формуле: …
Площадь квадрата вычисляется по формуле: ……….

11.

По тропинке вдоль кустов
Шло 11 хвостов.
Насчитать я также смог,
Что шагало 30 ног.
Это вместе шли куда-то
Индюки и жеребята.
А теперь вопрос таков:
Сколько было индюков?
Спросим также у ребят:
Сколько было жеребят?
11

12. Для решения задач с помощью систем уравнений необходимо

Обозначить
неизвестные
элементы переменными;
По условию задачи составить
систему уравнений;
Удобным
способом решить
полученную систему уравнений;
• Выбрать ответ удовлетворяющий
условию задачи.

13. Решить предложенную задачу с использованием данного алгоритма.

• Прямоугольный садовый участок
площадью 2400 м2 огорожен забором
длиной 200 м. Найти длину и ширину
заданного участка.

14.

Прямоугольный участок площадью 2400 м2 нужно
м. Найти длину и
оградить забором длиной 200 м
ширину участка.
ширина – х
Длина – у
2(х+у) = 200
ху = 2400
х+у =100
у = 100 – х
ху = 2400,
х(100-х) = 2400,
у = 100 – х
-х ² + 100х – 2400 = 0,
х² - 100х + 2400 = 0
х1 =40
или х2 = 60
Обозначить
величины
переменными
х1 =40
х2 =неизвестные
60
у
=
60,
у2 = 40.
1
Составить уравнения по условию задачи
Удобным способом решить систему уравнений

15.

Применение систем уравнений при решении
геометрических задач
Диагональ прямоугольника 10 см., а одна из сторон на 2
см.больше другой. Найдите стороны прямоугольника.

16.

Площадь прямоугольника равна 45 см2 . Длина
прямоугольника относится к его ширине 5:4. Найдите
длины сторон этого прямоугольника.
Пусть а и в - длина и ширина (в см) соответственно.
Какая из систем соответствует условию задачи?
ав 45;
1)
а 5.
в 4
2(а в) 45;
3)
4а 5в.
2(а в ) 45;
2)
а 4
.
в 5
ав 45;
4)
(а в ) 5 .
4
16

17.

Мальчик и девочка собирали в лесу грибы, причем девочка
собрала третью часть от всех грибов. Сколько грибов собрал
каждый из них, если мальчик собрал на 10 грибов больше,
чем девочка?
Пусть а грибов собрала девочка, в грибов – мальчик.
Какая из систем уравнений не соответствует условию
задачи?
1)
в а 10;
3а а в.
3)
1
а (а в);
3
в а 10.
2)
4)
в а 10;
а 1 (а в ).
3
2 а в;
в а 10.
17

18.

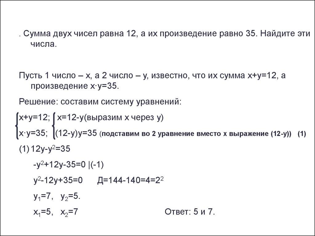
. Сумма двух чисел равна 12, а их произведение равно 35. Найдите эти
числа.
Пусть 1 число – х, а 2 число – у, известно, что их сумма х+у=12, а
произведение х·у=35.
Решение: составим систему уравнений:
х+у=12; х=12-у(выразим х через у)
х·у=35; (12-у)у=35 (подставим во 2 уравнение вместо х выражение (12-у))
(1) 12у-у2=35
-у2+12у-35=0 |(-1)
у2-12у+35=0
Д=144-140=4=22
у1=7, у2=5.
х1=5, х2=7
Ответ: 5 и 7.
(1)

19.

Диагональ прямоугольника равна 10см, а его
периметр равен 28 см. Найдите стороны
прямоугольника.
Что нам неизвестно?
10
у
Как обозначим эти неизвестные величины?
Как найти периметр нашего
прямоугольника?
х
Составьте 1 уравнение системы.
2(х+у)=28
х+у=14
Как нам связать стороны с диагональю?
Х2+у2=100
По теореме Пифагора получаем х2+у2=102
это второе уравнение системы.

20.

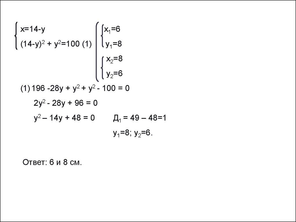
х=14-у
х1=6
(14-у)2 + у2=100 (1)
у1=8
х2=8
у2=6
(1) 196 -28у + у2 + у2 - 100 = 0
2у2 - 28у + 96 = 0
у2 – 14у + 48 = 0
Д1 = 49 – 48=1
у1=8; у2=6.
Ответ: 6 и 8 см.

21.

На каждой из сторон прямоугольника построен
квадрат. Сумма площадей квадратов равна 122
см2. Найдите стороны прямоугольника, если его
площадь равна 30 см2.
2(х2 + у2) =122
х2 + у2 = 61
ху = 30
х = 30/ у
S=х2
(30/ у)2 + у2 – 61 = 0
у4

61у2
у
+ 900 = 0
Замена у2 = а, а>0.
а2
- 61а + 900 = 0, Д
у
=612-4·900=3721-3600=121
S=у2
х
х
а1= 36, а2=25.
Обратная замена: у2=6, у=6, у2=25, у=5
х=5
Ответ: 5 и 6 см.
S=ху
х=6

22.

1.
2.
3.
4.
В классе 25 учащихся. При посадке деревьев в школьном саду
каждая девочка посадила по 2 дерева, а каждый мальчик по 3
дерева. Всего было посажено 63 дерева. Сколько в классе
девочек и сколько мальчиков?
На дворе 20 кроликов и кур, у которых 52 ноги. Сколько кур и
кроликов в отдельности?
В мастерской «Автосервис» отремонтировали 22 легковых и
грузовых автомобиля. Среди них легковых на 8 меньше, чем
грузовых. Сколько автомобилей каждого вида
отремонтировали в мастерской?
В фермерском хозяйстве под гречиху и просо отведено 19 га,
причём гречиха занимает на 5 га больше, чем просо. Сколько
гектаров отведено под каждую из этих культур?

23.

1.
х- девочек, у – мальчиков;
х+у=25;
2х+3у=63.
Ответ: 12 девочек, 13 мальчиков.
2.
х – кроликов, у – кур;
х+у=20;
4х +2у=52.
Ответ:6 кроликов,14 кур.
3. х – легковых, у – грузовых
х +у = 22,
у – х = 8.
Ответ: 7 легковых, 15 грузовых.
4. х – гречиха, у – просо
х + у = 19,
х – у = 5.
Ответ: 7 га проса, 15 га гречихи.

24.

• Гипотенуза
прямоугольного
треугольника равна 20
сантиметрам. Найдите
его катеты, если один из
них больше другого на 4
сантиметра.
• Площадь
прямоугольника равна
56 сантиметрам
квадратным, а разность
сторон 10 сантиметрам.
Вычислите стороны
прямоугольника.

25.

• Прямоугольный
треугольник.
• Гипотенуза – 20 см.
• Катеты: х, у;
• Один из катетов на 4 см.
больше другого: х – у = 4.
• Теорема Пифагора:
• х² +у² = 400
• Система уравнений:
• х – у = 4, х² + у² = 400.
• Ответ: катеты – 12 см., 16
см.
Прямоугольник.
а,в – стороны пр-ка;
Разность сторон: а - в=10;
Площадь: а . в=56.
Система уравнений:
а – в = 10, а . в = 56.
Ответ: стороны – 4см., 14
см.

26. Задачи для самостоятельного решения

• Если периметр прямоугольного треугольника
84 см, а его гипотенуза 37 см , то чему равны
катеты данного треугольника?
Ответ: 12 см и 35 см

27. Задачи для самостоятельного решения

Одна
сторона прямоугольника длиннее
другой на 14 см. Если диагональ равна 26
см, найдите стороны прямоугольника.
Ответ: 10 и 24

28. Задачи для самостоятельного решения

Если
сумма двух чисел равна12, а их
произведение 35, найдите данные числа.
Ответ: 5 и 7

29.

Применение систем уравнений при решении
задач на «движение»
Из двух посёлков, расстояние между которыми 40 км одновременно,
навстречу друг другу вышли два пешехода. Через 4 часа им
оставалось пройти до встречи 4 километра. Если бы первый пешеход
вышел на 1 час раньше, то встреча произошла бы на середине пути.
С какой скоростью шёл каждый пешеход?
1 случай
v
t
S
4км.
I
II
I пешеход
IIпешеход
40км.
I
2случай
v
t
II
S
I пешеход
IIпешеход
40км

30.

Применение систем уравнений при решении
задач на « смеси и сплавы»
Имеется два сплава . I сплав содержит 10% никеля, а II –
30% никеля. Из этих сплавов получили третий сплав
массой 20 кг., содержащий 25% никеля. На сколько
килограммов масса I сплава меньше массы II сплава?
m сплава
I сплав
IIсплав
IIIсплав
%
содержание
никеля
m никеля в сплаве

31. Алгоритм решения задач на совместную работу.

Принимаем всю работу, которую необходимо
выполнить за 1.
Находим производительность труда каждого рабочего в
отдельности, т.е. , где t – время, за которое этот рабочий
может выполнить всю работу, работая отдельно.
Находим ту часть всей работы, которую выполняет
каждый рабочий отдельно за то время, которое он
работал.
Составляем уравнение, приравнивая объем всей работы
к сумме слагаемых, каждое из которых есть часть всей
работы, выполненная отдельно каждым из рабочих.

32. Задача №1

Один комбайнер может убрать урожай
пшеницы с участка на 24 ч быстрее, чем
другой. При совместной работе они
закончат уборку урожая за 35 часов.
Сколько времени потребуется каждому
комбайнеру, чтобы одному убрать
урожай?

33. Решение задачи

Вспомним формулу для вычисления работы
A
N
t
А-работа, N-производительность, t-время
N
t
За
t=35
1 рабочий 1
1/x
x
35/x
2 рабочий 1
1/y
y
35/y
A

34. Составим систему:

35 35
1
x
y
y 24 x

35. Решаем систему способом подстановки

Ответ: у = 60, х = 84

36. Задача №2

Две бригады, работая совместно, могут
выполнить некоторое задание за 3 ч 36
мин. Сколько времени затратит на
выполнение этого задания каждая бригада,
работая в отдельности, если известно, что
первой бригаде требуется для этого на 3
часа больше времени, чем второй.

37. Задача №3

Мастер и ученик должны были выполнить
некоторое задание. После четырех дней
совместной работы ученик был переведен в
другой цех, и, чтобы закончить выполнение
задания, мастеру пришлось еще 2 дня работать
одному. За сколько дней мог бы выполнить
каждый из них это задание, если известно, что
мастеру для этого требуется на 3 дня меньше,
чем ученику?

38. Поможем агроному

Первый комбайнер работает - х час.
35 35
1
х
у
Второй комбайнер работает – у час.
х у 24
Ответ: 84 часов и 60 часов
Первый комбайнер может собрать урожай с
заданного участка на 24 часа быстрее второго
комбайнера. Два комбайнера работая вместе
могут собрать урожай за 35 часов. За сколько
часов могут собрать урожай каждый комбайнер,
работая отдельно?

39. Алгоритм решения задач, в которых используется формула двузначного числа.

Вводится обозначение:
х – цифра десятков
у – цифра единиц
Искомое двузначное число 10х + у
Составить систему уравнений

40. Задача №1.

Двузначное число в четыре раза
больше суммы его цифр. Если к
этому числу прибавить
произведение его цифр, то
получится 32. Найдите это
двузначное число.

41. Решение задач

Х – цифра десятков. У – цифра единиц. 10х + у –
искомое число.
х1 =-8 (посторонний корень) х2 =2,
тогда у =4.

42.

Задача №2.
Двузначное число в трое больше суммы
его цифр. Если из этого числа вычесть
произведение его цифр, то получится 13.
Найдите это двузначное число. (27)
. Задача №3.
Двузначное число в шесть раз больше
суммы его цифр. Если это число сложить с
произведением его цифр, то получится 74.
Найдите это число.(54).

43. Домашнее задание:

Задача №4.
Сумма квадратов цифр двузначного числа равна
13. Если от этого числа отнять 9, то получим
число, записанное теми же цифрами, но в
обратном порядке. Найти число.(32).
Задача №5.
Произведение цифр двузначного числа в три раза
меньше самого числа. Если к искомому числу
прибавить 18, то получится число, написанное
теми же цифрами, но в обратном порядке. Найти
это число.

44.


Биллион – миллиард.
Близнецы – два простых числа с разностью, равной 2.
В первой сотне 8 пар близнецов: (3;5),(5;7), (11;13). (17;19), (29;31),
(41;43), (59;61), (71;73).
Дружественные числа – натуральные числа А и В такие, что А
есть сумма всех натуральных делителей числа В, меньших В, а
число В есть сумма всех натуральных делителей числа А,
меньших А.
Первая пара дружественных чисел (220; 284).
220 = 1 + 2 +4 + 71 + 142;
284 = 1 + 2 + 4 + 5 + 10 + 11 + 20 + 22 + 44 + 55 + 110
Была известна древнегреческому учённому Пифагору (6 век до н.э.)
English     Русский Правила