Итоговое повторение по курсу «Алгебра и начала анализа» 10 класс
Основные тригонометрические формулы
Упростите выражения
Вычислите
Формулы сложения
Вычислите
Формулы приведения
Упростите выражение
Формулы преобразования суммы тригонометрических функций в произведение
Упростите выражение
Формулы Преобразования произведения в сумму тригонометрических функций.
Упростите выражение
Формулы двойного угла
Формулы тройного угла
Формулы половинного угла
Формулы понижения степени
Упростите выражение
Вычислите
Упростите выражение
простейшие тригонометрические уравнения.
Решите уравнение
простейшие тригонометрические уравнения.
Решите уравнение
простейшие тригонометрические уравнения.
Решите уравнение
простейшие тригонометрические уравнения.
Решите уравнение
Тригонометрические уравнения
Подготовка к егэ
Литература
Спасибо за урок!
951.67K
Категория: МатематикаМатематика

Тригонометрические формулы. (10 класс)

1. Итоговое повторение по курсу «Алгебра и начала анализа» 10 класс

Учитель математики
ГБОУ СОШ №1179
Саркисян И.С.

2. Основные тригонометрические формулы

sin 2 cos 2 1
sin 2 1 cos 2
cos 2 1 sin 2
tg ctg 1
tg
1
ctg
1
ctg
tg
sin
cos
1 ctg 2
1
sin 2
cos
ctg
sin
1 tg 2
1
cos 2
tg

3. Упростите выражения

а)
sin 2
cos 1
б)
cos 2
sin 1
2
2
2
в)1 sin ctg sin
1 cos
1 sin
2 cos 2
1 sin 2
tg ctg
г)
2
1 cos
1
sin 2
д)(1 cos 2 )tg 2 1 tg 2
cos 2

4. Вычислите

sin
а)
4
cos tg
3
2 sin sin
6
2
б) cos
6
cos
4
cos
3
2
4
4
cos
2
3
в)sin( ) cos( ) sin(
)
2
2
0
1

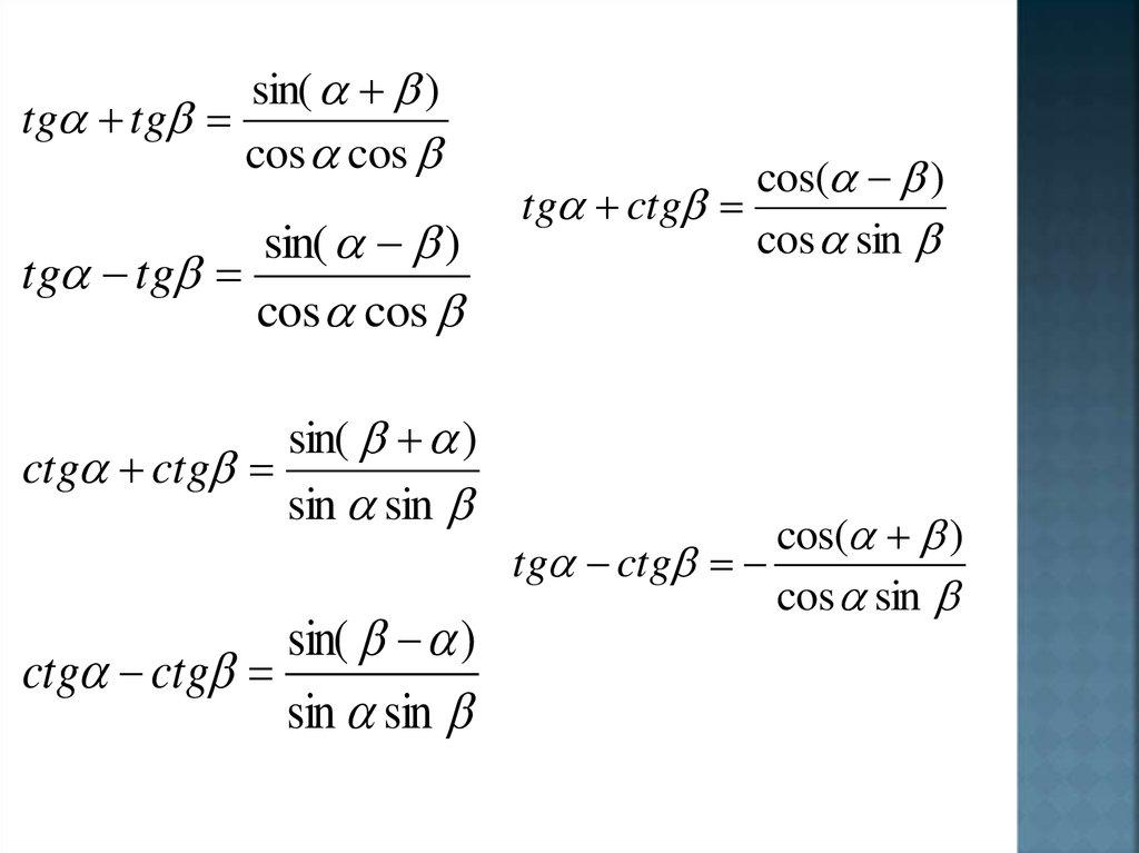
5. Формулы сложения

cos( ) cos cos sin sin
cos( ) cos cos sin sin
sin( ) sin cos cos sin
sin( ) sin cos cos sin
tg tg
tg ( )
1 tg tg
ctg ctg
ctg ( )
1 ctg ctg
tg tg
tg ( )
1 tg tg
ctg ctg
ctg ( )
1 ctg ctg

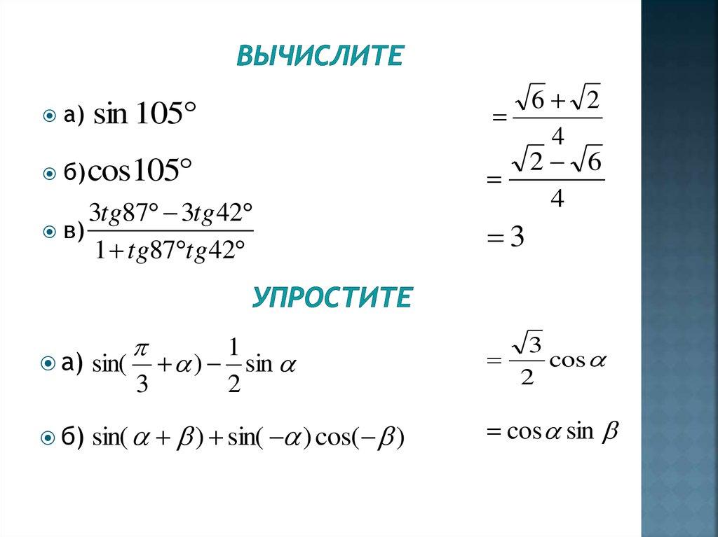
6. Вычислите

sin 105
а)
б) cos105
3tg87 3tg 42
в)
1 tg87 tg 42
1
а) sin(
) sin
3
2
б)
sin( ) sin( ) cos( )
6 2
4
2 6
4
3
3
cos
2
cos sin

7. Формулы приведения

8. Упростите выражение

а)
tg ( )tg (
3
) sin( ) cos( )
2
2
б) ctg ( )ctg (
3
) tg (2 )ctg ( )
2
2
3
cos ( )
2
cos
( )
2
в)
2
tg ( 2 ) tg 2 ( 3 )
2
cos 2
1
cos 2
2
5
3 5
4
sin
tg
cos
г) ctg
3
4
6
3
д)
tg 225 cos 330 ctg120 sin 240
1
2
12
0,25

9. Формулы преобразования суммы тригонометрических функций в произведение

sin sin 2 sin
sin sin 2 sin
2
cos
cos cos 2 cos
cos cos 2 sin
2
cos
2
2
2
cos
sin
2
2
2

10.

sin( )
tg tg
cos cos
sin( )
tg tg
cos cos
sin( )
ctg ctg
sin sin
sin( )
ctg ctg
sin sin
cos( )
tg ctg
cos sin
cos( )
tg ctg
cos sin

11. Упростите выражение

sin 2 sin 6
cos 2 cos 6
cos 2 cos 4
б)
cos 2 cos 4
а)
tg 4
tg3 tg
2 sin 40 cos 70
в)
cos 20
3
3 cos 5
г)
sin 35 cos 65
3
sin sin 3 sin 5 sin 7
д)
cos cos 3 cos 5 cos 7
tg 4
sin sin 2 sin 3
е)
cos cos 2 cos 3
tg 2

12. Формулы Преобразования произведения в сумму тригонометрических функций.

1
sin sin cos( ) cos( )
2
1
cos cos cos( ) cos( )
2
1
sin cos sin( ) sin( )
2

13. Упростите выражение

а)
2 sin sin 2 cos 3
б) sin 2 sin 15 cos 15
2
2
в)2 2 sin 83 sin 38
1
sin 31
2
1
6
2
sin
28
sin
17
sin
79
г)
2
д) 2 sin
sin cos 2
е) cos cos
4
4
cos
1
2
1
3
cos 2
1
cos 2
2

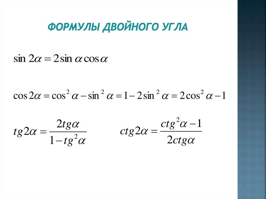
14. Формулы двойного угла

sin 2 2 sin cos
cos 2 cos sin 1 2 sin 2 cos 1
2
2tg
tg 2
2
1 tg
2
2
2
ctg 1
ctg 2
2ctg
2

15. Формулы тройного угла

sin 3 3 sin 4 sin 3
cos 3 4 cos3 3 cos
3tg tg 3
tg3
2
1 3tg
ctg 3 3ctg
ctg3
2
3ctg 1

16. Формулы половинного угла

1 cos
sin
2
2
1 cos
cos
2
2
1 cos
sin
1 cos
tg
2
1 cos 1 cos
sin
1 cos
sin
1 cos
ctg
2
1 cos 1 cos
sin

17. Формулы понижения степени

1 cos 2
cos
2
2
1 cos 2
sin
2
2

18. Упростите выражение

а)
1 cos 4
ctg 2 2 3
1 cos 4
3
б)
1 cos 8
tg 2 4 2
1 cos 8
2
в)
1 cos 2 sin 2
tg
1 cos 2 sin 2 2
1
2
г)
tg ctg
д)
ctg tg sin 2
sin 2 2 sin
е)
cos 1
sin 2
2 cos 2
2 sin

19. Вычислите

а)
cos
2
sin
2
2
2
8
8
cos
б) 2 sin
12
12
1
2
5
4 5
в) cos
sin
12
12
4
г) cos
д)
12
sin
sin
cos
12
12
12
3
2 cos 2 45 sin 2
3
3
2
3 3
8
1

20. Упростите выражение

1 cos 2
sin 2
1 cos 2
б)
1 cos 2
tg
а)
в) ctg
г)
ctg 2
1 cos 2
sin 2
sin cos cos
2(1 cos )
4
4
2
1 cos 2
д)
tg
cos 2
1 cos
2
2
cos
2
sin 2

21. простейшие тригонометрические уравнения.

sin x a
x arcsin a 2 n, п Z
x arcsin a 2 n, n Z .
Частные
sin x 0
x n, n Z
случаи:
sin x 1
x
2
2 n, n Z
sin x 1
x
2
2 n, n Z

22. Решите уравнение

а) sin x
1
2
x
2 n, n
6
x 7 2 n, n
6
2
б) sin x
2
x
2 n, n
4
x 3 2 n, n
4
в)
sin x 3
г)
sin x 1
нет решения
x
2
2 n, n

23. простейшие тригонометрические уравнения.

cos x a
x arccos a 2 n, n Z
Частные
cos x 0
x
2
n, n Z
случаи:
cos x 1
cos x 1
x 2 n, n Z
x 2 n, n Z

24. Решите уравнение

2
а) cos x
2
1
б) cos x
2
x 0
в) cos
г)
cos x 2
x
4
2 n, n
2
x
2 n, n
3
x
2
n, n
нет решения

25. простейшие тригонометрические уравнения.

tgx a
x arctga n, n Z
Частные
tgx 1
tgx 0
x n, n Z
случаи:
x
4
n, n Z
tgx 1
x
4
n, n Z

26. Решите уравнение

а)
tgx 3
x
3
n, n
3
б)tgx
3
x
1
в) tg 4 x
3
x
x
г) tg 1
4 2
x 2 n, n
6
n, n
24
n
4
,n

27. простейшие тригонометрические уравнения.

ctgx a
x arcctga n, n Z
Частные
ctgx 0
x
2
n, n Z
случаи:
ctgx 1
x
4
n, n Z
ctgx 1
3
x
n, n Z
4

28. Решите уравнение

а)
ctgx 3
3
б) ctgx
3
x
в) ctg 1
2
г) ctg 3 x
0
x
6
n, n
3
x
n, n
4
x
x
3
2 n, n
2
6
n
3
,n

29. Тригонометрические уравнения

Решите
уравнения преобразовав их к
квадратным
а)
3 cos x 10 cos x 3 0
2
б) 2 cos
2
x 2 sin x
2
в) 5 sin x 4 sin x 4
2
г) tgx 3ctgx
д) ctg
2
x
4
3 1 ctgx 3 0
1
x arccos 2 n, n
3
x
2
2 n, n
x 2 n, n
x arccos 1 2 n, n
5
x
n, n
4
x arctg 3 n, n
x
n, n
4
x n, n
6

30.

Решите
уравнения методом
разложения на множители
а) 3 cos x sin 2 x cos x
б)sin 2 x
2 sin x
в) cos 7 x cos x 0
г) sin
д)
2
x sin 2 x 1
cos 3x 1 cos 6x
x
2
n, n
x n, n
x 2 n, n
4
n
x
,n
8 4
x n , n
6 3
x
n, n
2
x arctg 1 n, n
2
n
x
,n
6 3
x 2 n , n
9
3

31.

Решите
уравнения, преобразовав их к
однородным
а) sin
x 3 cos x 0
x
б)3 sin x 4 sin x 0
2
x arctg
в) 6 sin x cos x 5 cos 2x
x
г) sin
2
x 14 sin x cos x 15 cos x
2
2
д)7 sin x 4 sin 2 x 7 cos x
2
3
n, n
4
n, n
3
1
5 n
arctg , n
2
3 2
x
n, n
4
x arctg15 n, n
x
1
7 n
arctg , n
2
4 2

32. Подготовка к егэ

Задание:
а)Решить уравнение
б)Указать корни уравнения,
удовлетворяющие условию.
x
x
x
x
;
1.а) 3 sin cos cos sin sin 2 x , б)
2
2
2
2
2
x
2.а) 4 cos
1 sin x sin 2 x,
2
3
,
2
3.а) 3 sin x cos
x
2
2
13
12 0 ,
4.а) 6tg x
cos x
2
3
cos
2
x
cos x 0,
5.а)
2
б)
3
2 ; 2
;
2
б) 2
б)
3 7
2 ; 2
б)
2
;
2

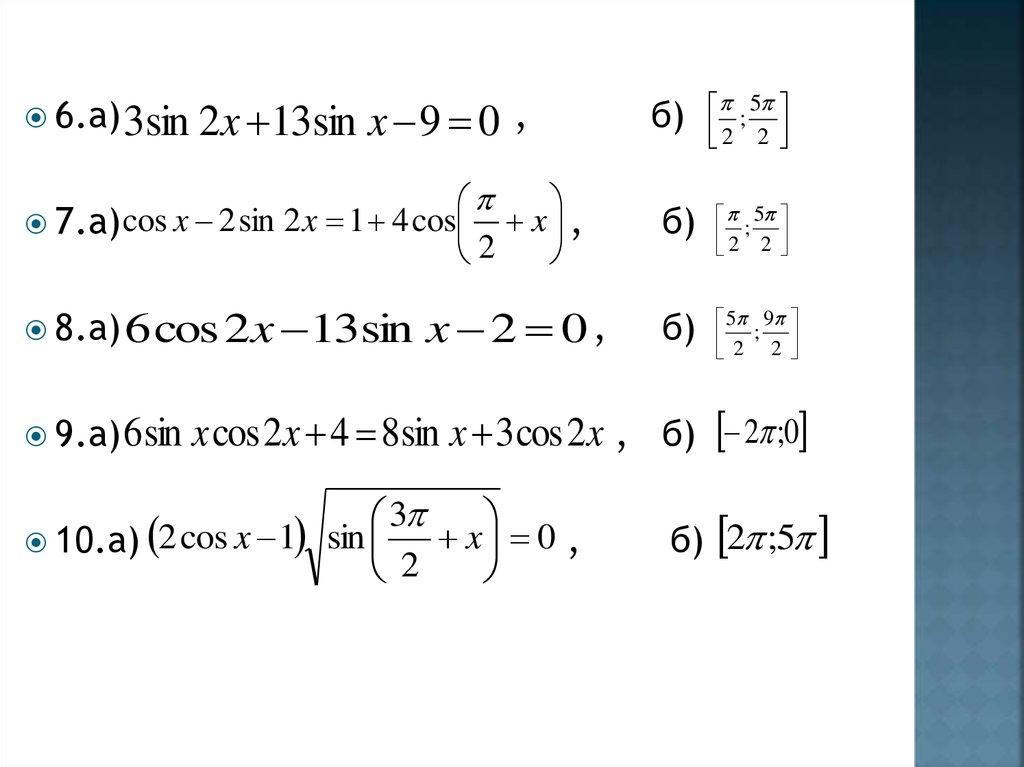
33.

6.а)
3sin 2x 13sin x 9 0 ,
б)
5
2 ; 2
cos
x
2
sin
2
x
1
4
cos
x
7.а)
,
2
б)
5
2 ; 2
8.а) 6 cos 2x 13sin
б)
5 9
2 ; 2
9.а) 6 sin
x 2 0,
x cos 2x 4 8sin x 3cos 2x , б) 2 ;0
3
x 0 ,
10.а) 2 cos x 1 sin
2
б) 2 ;5

34. Литература

1.
2.
3.
4.
5.
6.
http://images.yandex.ru
С.М.Саакян А.М.Гольдман Д.В.Денисов Задачи по
алгебре и началам анализа для 10-11 классов.
А.Г.Мордкович Е.Е.Тульчинская
Тригонометрия.
А.Н.Рурукин Алгебра и начала
анализа.
Контрольно-измерительные
материалы
А.П.Ершова В.В.Голобородько
Разноуровневый дидактический
материал.
http://www.alexlarin.net/
English     Русский Правила