118.40K
Категория: МатематикаМатематика

Умножение многочлена на многочлен

1.

Умножение многочлена на
многочлен
7 класс (урок закрепления)

2.

ПРОДОЛЖИТЕ ЗАПИСЬ
(■ + ●)(▲ - ♥) =

3.

4.

1 2 3 4
5 6 7 8
9 10 11 12

5.

Верно ли утверждение, определение,
свойство?
Одночленом называют сумму
числовых и буквенных множителей.

6.

Верно ли утверждение, определение,
свойство?
Буквенный множитель одночлена,
записанного в стандартном виде,
называют коэффициентом одночлена.

7.

Верно ли утверждение, определение,
свойство?
Сумма показателей степеней всех букв
входящих в одночлен называемый
степенью одночлена.

8.

Верно ли утверждение, определение,
свойство?
Одночлены, имеющие равные
числовые коэффициенты, называются
подобными.

9.

Верно ли утверждение, определение,
свойство?
Алгебраическая сумма нескольких
одночленов называется многочленом.

10.

Верно ли утверждение, определение,
свойство?
В результате умножения многочлена на
одночлен получается одночлен.

11.

Верно ли утверждение, определение,
свойство?
Многочлен, в котором отсутствуют
подобные члены и каждый из них
одночлен стандартного вида,
называется многочленом стандартного
вида.

12.

Верно ли утверждение, определение,
свойство?
Чтобы раскрыть скобки, перед
которыми стоит знак “+”, скобки надо
опустить, сохранив знак каждого
члена, который был заключен в скобки.

13.

Верно ли утверждение, определение,
свойство?
Когда раскрываем скобки, перед
которыми стоит знак “-”, скобки
опускаем, и знаки членов, которые
были заключены в скобки, меняют на
противоположные.

14.

Верно ли утверждение, определение,
свойство?
Решить уравнение, значит найти его
корень.

15.

Верно ли утверждение, определение,
свойство?
Если какое-нибудь слагаемое
перенести из одной части уравнения в
другую, изменив при этом его знак на
противоположный, то получим
уравнение, имеющее другие корни,
что и данное.

16.

Верно ли утверждение, определение,
свойство?
Частное двух чисел, отличных от нуля,
называют отношением этих чисел.

17.

№ 11.2(1,2,3,6,7,8)
1)(a+b)(c-d)=ac+ad+bc-bd
2)(x-6)(x-4)=x2-4x-6x-24= x2-10x-24
2
2
3)(a-3)(a+7)=a +7a+3a-21= a +10a-21
6) (3y-5)(2y-12)=6y2-36y-10y+60= 6y2-46y+60
2
2
4
2
2
4
4
7) (2x -3)(x +4)=2x +8x -3x -12= 2x +5x -12=
4
7х -12
8) (x-6)(x2-2x+9)=x3-2x2+9x-6x2+12x-54=
3
2
x -8x +21x-54

18.

№11.7(3)
2
21х -(3х-7)(7х-3)=37
21х2-(
2
21х
2
21х
х=
Ответ: х=
)=37
=37
=37

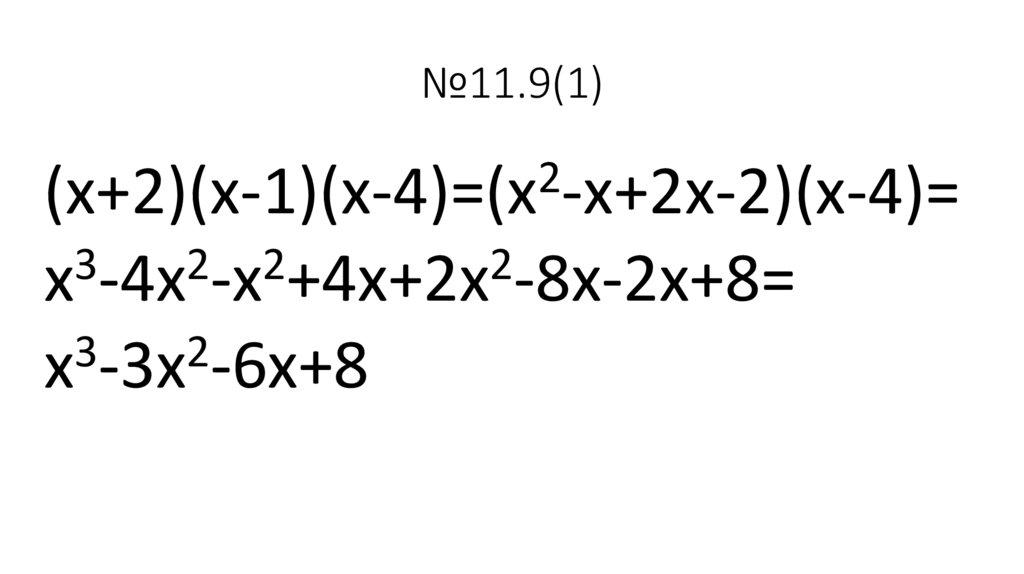
19.

№11.9(1)
2
(х+2)(х-1)(х-4)=(х -х+2х-2)(х-4)=
3
2
2
2
х -4х -х +4х+2х -8х-2х+8=
3
2
х -3х -6х+8

20.

№11.12
2
2
(х+3)(х -4х+7)-(х -5)(х-1)=
3
2
2
3
2
х -4х +7х+3х -12х+21-(х -х -5х+5)=
3
2
2
3
2
=х -4х +7х+3х -12х+21-х +х +5х-5=
16

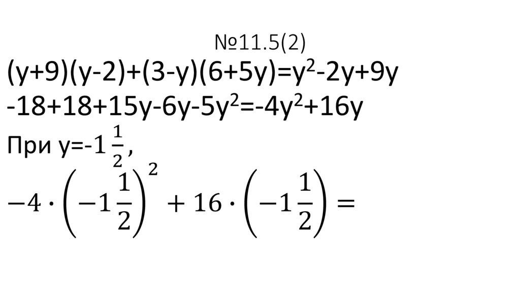
21.

№11.5(2)
2
(у+9)(у-2)+(3-у)(6+5у)=у -2у+9у
2
2
-18+18+15у-6у-5у =-4у +16у
При
1
у=-1 ,
2 2
1
−4 ∙ −1
2
1
+ 16 ∙ −1
=
2

22.

5 советов
Д/з: №11.6(1), №11.8(1), №11.10(1,3)
English     Русский Правила