«Производная: определение и основные формулы »
Содержание:
Цели и задачи
Для каждой из функций, графики которых изображены в верхнем ряду, найдите график ее производной.
Основная литература:
860.50K
Категория: МатематикаМатематика

Производная: определение и основные формулы

1. «Производная: определение и основные формулы »

2. Содержание:

1.
2.
3.
4.
5.
6.
7.
8.
9.
10.
11.
12.
13.
Цели и задачи
Определение производной
Физический смысл производной
Правила дифференцирования
Основные формулы производных
Примеры взятия производных
Производные элементарных функций
Производная сложной функции
Задания для закрепления материала
Задания для самоанализа
Ответы
Домашнее задание
Основная литература

3. Цели и задачи

Цель: познакомиться с одним из важных элементов
математического анализа – производной: ее
определением, физическим смыслом, а также
освоить аппарат нахождения производной различных
функций.
Задачи:
1.
2.
3.
Знать определение производной;
Знать и уметь применять правила
дифференцирования;
Знать и уметь применять формулы для
вычисления производных элементарных
функций.

4.

Определение производной
y
x = x - x0
x = x0 + x
y=f(x)
В
f(x)
приращение аргумента
f
f(x0)
А
f = f(x) – f(x0)
f(x) = f(x0) + f
приращение функции
x
O
x0
x
f f(x0 + x) – f(x0)
— = ———————
x
x
x
разностное
отношение

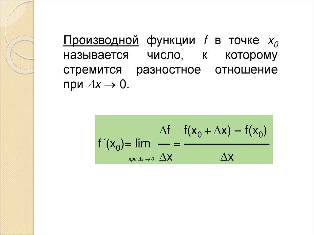
5.

Производной функции f в точке x0
называется число, к которому
стремится разностное отношение
при x 0.
f f(x0 + x) – f(x0)
f´(x0)= lim — = ———————
при x 0 x
x

6.

Физический смысл производной
x
Если тело движется по прямой и за время t
его координата изменяется на x, то
t t(x0 + x) – t(x0) - средняя скорость
Vср( t) = — = ——————— движения тела за t
x
x
Таким образом, физический смысл
производной – это мгновенная скорость

7.

Правила дифференцирования
Если функция y = f(x) имеет производную, то она называется
дифференцируемой; операция нахождения производной
функции называется дифференцированием.
Пусть f(x) , g(x) – дифференцируемые функции, С – постоянная.
(c f ( x)) c f ( x)
( f ( x) g ( x)) f ( x) g ( x)
( f ( x) g ( x)) f ( x) g ( x) f ( x) g ( x)
f ( x)
f ( x) g ( x) f ( x) g ( x)
2
g ( x)
g ( x)

8.

Основные формулы производных
x 1
c 0
n 1
x n x
n
x 2 x
1
kx b n kx b k
n
n 1

9.

Примеры взятия производной
8 0
0
5
x 6x
6
7 x 8
x
7
5 x 5
3, 4 x 3, 4
100 x99
x
x 100x
100
100
52 5 32 5 x3
x x x
2
2
1
5
3 4
3
3
4
4 3x 4 x 4 5
x
4 x
5
101

10.

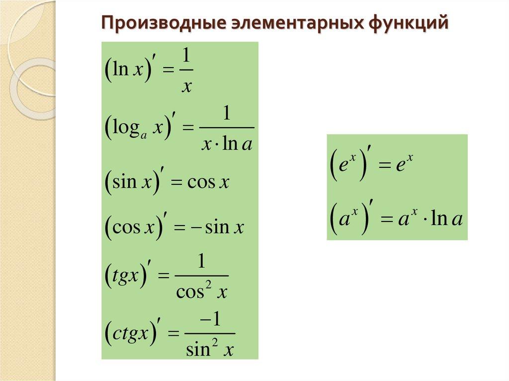
Производные элементарных функций
1
ln x
x
log x
a
1
x ln a
sin
x
cos x
cos
x
sin x
tgx
1
2
cos x
1
ctgx 2
sin x
x
e
e
x
x
a
a
ln a
x

11.

Производная сложной функции
Пусть f(x) , g(x) – дифференцируемые функции. Тогда:
f g x f g x g x
Пример:
sin 4 x 3x sin 4 x5 3x 2 4 x5 3x 2
5
2
cos 4 x 3x 20 x 6 x
5
2
4

12.

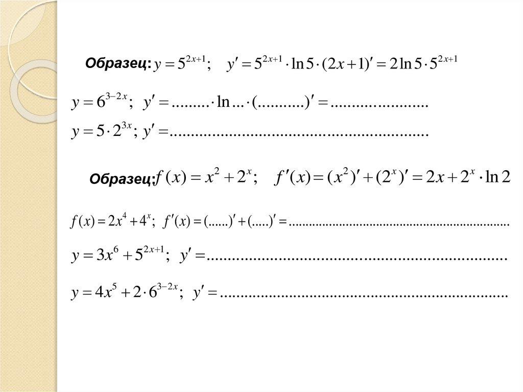
Задания для закрепления материала
Найдите производные, используя образцы.
5
4
4
Образец:(2 x) 2; (5 x 1) 5; (3x ) 3 5 x 15 x
(4 x) ....
(6 x 2) .....
(3 2 x) .....
(2 x 4 ) ..........
(3x 6 ) ...........
Образец:y 3e x ; y 3e x
f ( x) e3 x 1; f ( x) e3 x 1 (3x 1) 3e3 x 1
y 5e x ; y ........
y e2 x ; y ..........
y 3e4 x ; y 3(e4 x ) ............... ............
y 0,5e6 x 2 ; y 0,5 (e6 x 2 ) 0,5 e............ (............) .................... ...................

13.

y 52 x 1 ln 5 (2 x 1) 2ln 5 52 x 1
Образец: y 52 x 1;
y 63 2 x ; y ......... ln... (...........) .......................
y 5 23 x ; y .............................................................
Образец:f ( x) x
2
2x ;
f ( x) ( x 2 ) (2 x ) 2 x 2 x ln 2
f ( x) 2 x4 4x ; f ( x) (......) (.....) ..................................................................
y 3x6 52 x 1; y .......................................................................
y 4 x5 2 63 2 x ; y .......................................................................

14. Для каждой из функций, графики которых изображены в верхнем ряду, найдите график ее производной.

15.

Задания для самоанализа
Задание 1. Найдите производные функций:
1. f x 3x 5
2. f x 4 x 5 x 9 x
2
3
3 x
3. f x
x 3
2 5 7
4. f x 2 3
x
x x
5. f x x 4
1
1
6. f x
2 4x
3x 2 x

16.

Задание 2. Найдите производные функций:
1. f x 3 x 5 x 3
2. f x x 5 x x x
2
3
3 x
3. f x 3
x
2
2 x 5
4. f x
x 1
5. f x
2
x 4 x 2
1 1 2
6. f x 4 x
2 x

17.

Ответы:
Задание 2
Задание 1
1. f x 6 x 9
1. f x 3
2. f x 8 x 15 x x
2
3 1
3. f x 2
x 3
4 15 7
4. f x 3 4 2
x x
x
1
5. f x
2 x
1
1
1
6. f x 2 3
3x 2 x
x
2. f x 5 x 4 24 x3 15 x 2
4x 9
3. f x
x4
2 x2 4 x 5
4. f x
2
x 1
1
x
6. f x 4 x 4
5. f x 1

18.

Если правильных ответов 11-12, то ты отлично
усвоил(а) материал – оценка 5;
Если правильных ответов 9-10, то ты хорошо усвоил(а)
материал – оценка 4;
Если правильных ответов 6-8, то ты усвоил(а) не очень
хорошо материал. Удели внимание правилам – оценка 3;
Если правильных ответов меньше 6, то ты плохо
усвоил(а) материал. Изучи тему еще раз – оценка 2.

19.

Домашнее задание
1. Для каждой из функций, графики которых изображены в верхнем
ряду, найдите график ее производной.

20.

2. Для каждой из функций найди значение производной и реши
уравнение.
f x
f x
f x 0
x3 3x 2 3x
1 sin x
5x x2 2x
3x 2 1
x 1
Ответы на домашнее задание оформить в виде электронных
таблиц (MS Exel) и прислать по электронной почте.

21. Основная литература:

1.
Голендухина И. Производная показательной функции
2.
Алимов Ш.А. и др. Алгебра и начала математического анализа.
10-11кл. 2012 г.
3.
Смирнова Л. Н. Устные упражнения на уроках математики.-М.:
Просвещение, 1996.
4.
Колмогоров А.Н. «Алгебра и начала анализа».
Учебник для 10-11 классов, 2008 год.
5.
Мордкович А.Г.«Алгебра и начала математического анализа.1011 классы. В 2ч. ». Учебник для учащихся
общеобразовательных учреждений(базовый уровень) 2009г.
6.
http://reshuege.ru
English     Русский Правила